Open Access

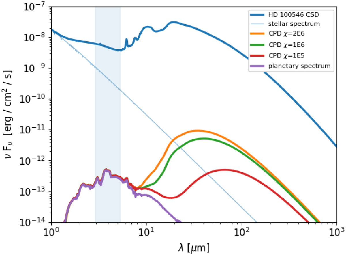
Fig. 1

image

Download original image

Continuum SED of the HD 100546 circumstellar disk (blue line) and of the CPD for three cases of differing background radiation (orange, green, and red lines) and in the case of no CPD (purple line) for a planet with Teff = 1000 K. The HD 100546 stellar spectrum is also included (thin blue line). The METIS LMS wavelength range is indicated by the light-blue filled region.

Current usage metrics show cumulative count of Article Views (full-text article views including HTML views, PDF and ePub downloads, according to the available data) and Abstracts Views on Vision4Press platform.

Data correspond to usage on the plateform after 2015. The current usage metrics is available 48-96 hours after online publication and is updated daily on week days.

Initial download of the metrics may take a while.