Open Access

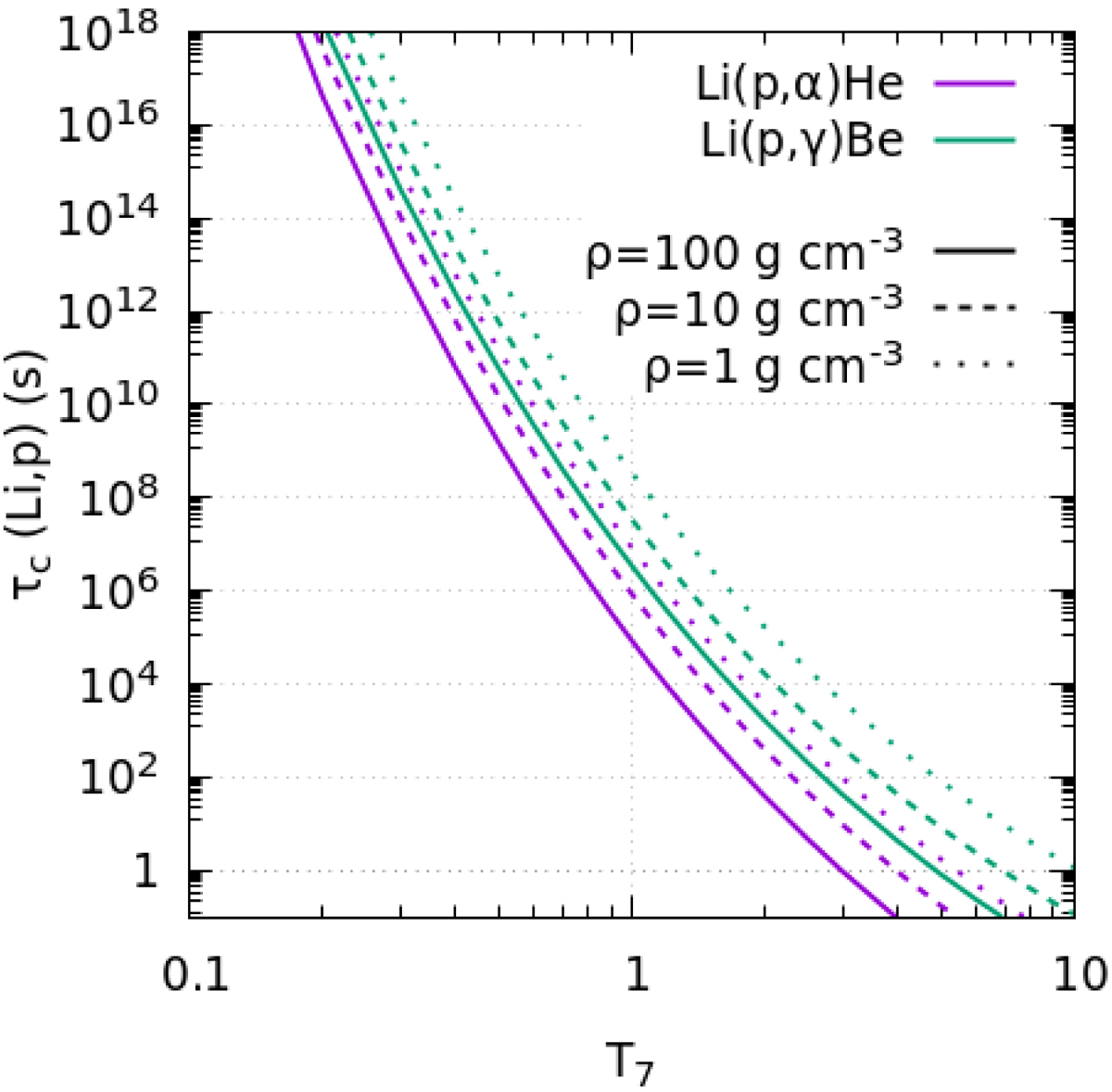
Fig. 13.

image

Download original image

Characteristic timescales for the two main channels of Lithium burning (7Li(p,α)4He in purple and 7Li(p,γ)7Be in green) for different densities and in function of the temperature in 107 K units (T7).

Current usage metrics show cumulative count of Article Views (full-text article views including HTML views, PDF and ePub downloads, according to the available data) and Abstracts Views on Vision4Press platform.

Data correspond to usage on the plateform after 2015. The current usage metrics is available 48-96 hours after online publication and is updated daily on week days.

Initial download of the metrics may take a while.