Open Access

Fig. 2.

image

Download original image

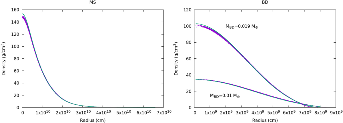
Density profiles for the MS (left panel) and BD (right panel) stars after relaxation. All SPH particles are represented with purple dots. Solid green lines show the initial 1D theoretical density profiles.

Current usage metrics show cumulative count of Article Views (full-text article views including HTML views, PDF and ePub downloads, according to the available data) and Abstracts Views on Vision4Press platform.

Data correspond to usage on the plateform after 2015. The current usage metrics is available 48-96 hours after online publication and is updated daily on week days.

Initial download of the metrics may take a while.