Open Access

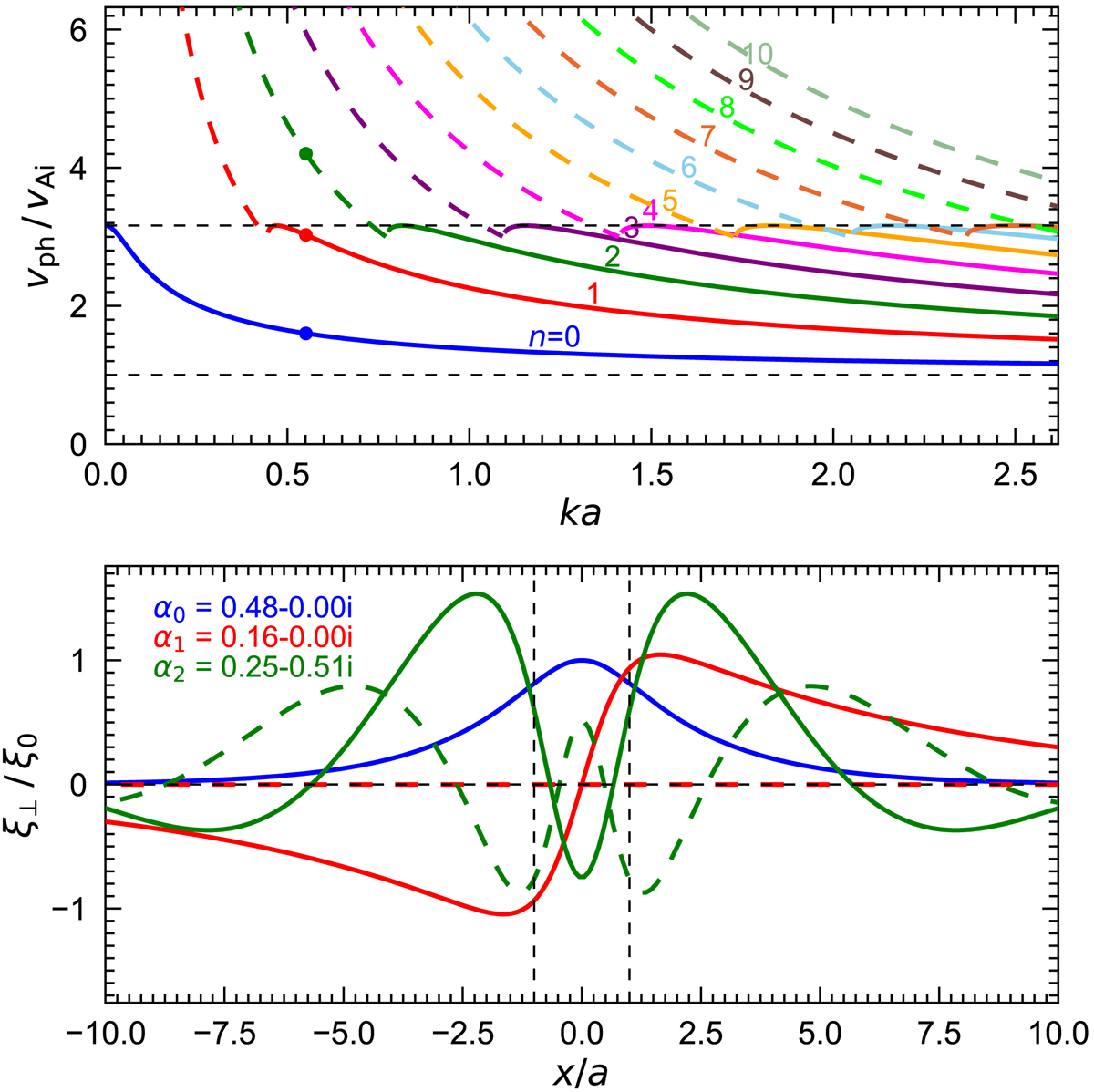
Fig. 1.

image

Download original image

Transverse wave mode solutions for χ = 0.1. Top: dispersion plot, showing the solutions of Eq. (14) for χ = 0.1 as the normalised phase speed vph/vAi versus the normalised wave number ka, for the first eleven transverse harmonics. Solid (dashed) curves indicate trapped (leaky) modes. The normalised internal and external Alfvén speeds are indicated by dashed black lines. Bottom: normalised transverse displacement profile Pn(tanh(x/a)) sechα(x/a) as a function of x/a for three modes whose phase speed and wave number are indicated as coloured circles above. The solid (dashed) curves are the real (imaginary) part.

Current usage metrics show cumulative count of Article Views (full-text article views including HTML views, PDF and ePub downloads, according to the available data) and Abstracts Views on Vision4Press platform.

Data correspond to usage on the plateform after 2015. The current usage metrics is available 48-96 hours after online publication and is updated daily on week days.

Initial download of the metrics may take a while.