Open Access

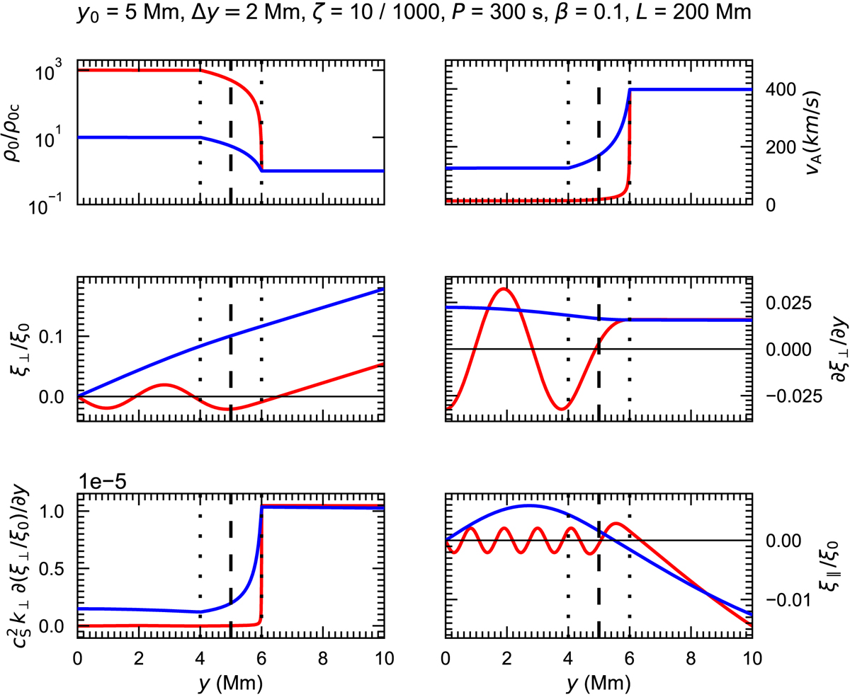
Fig. 4.

image

Download original image

Spatial profiles across the transition region of the equilibrium mass density, ρ0(y)/ρ0c, Alfvén speed, vA(y), transverse displacement, ξ/ξ0, derivative of the transverse displacement, ∂/∂y(ξ/ξ0), the acoustic coupling term, , and the longitudinal displacement, ξ/ξ0. The vertical dashed and dotted lines indicate the positions y0 and y0 ± Δy, respectively. The blue and red curves are the wave solutions for a density contrast ζ = 10 and 1000, respectively.

Current usage metrics show cumulative count of Article Views (full-text article views including HTML views, PDF and ePub downloads, according to the available data) and Abstracts Views on Vision4Press platform.

Data correspond to usage on the plateform after 2015. The current usage metrics is available 48-96 hours after online publication and is updated daily on week days.

Initial download of the metrics may take a while.