Open Access

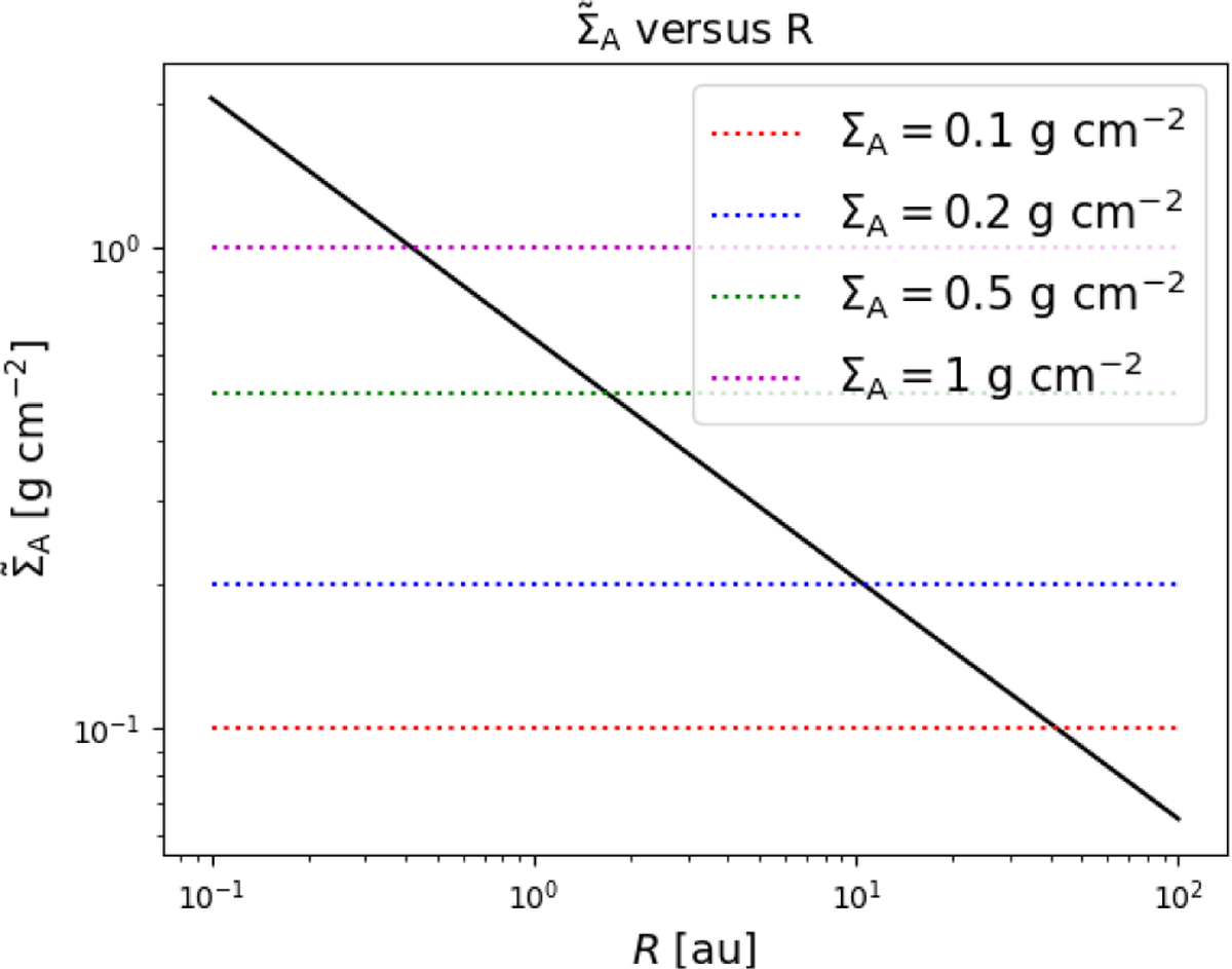
Fig. 9

image

Download original image

versus radius for a Jovian mass planet located in a disc with = 10−8 M yr−1. Also shown are various values of ΣA, indicating where an embedded planet would transition between fast migration and slow accretion to slow migration and fast accretion.

Current usage metrics show cumulative count of Article Views (full-text article views including HTML views, PDF and ePub downloads, according to the available data) and Abstracts Views on Vision4Press platform.

Data correspond to usage on the plateform after 2015. The current usage metrics is available 48-96 hours after online publication and is updated daily on week days.

Initial download of the metrics may take a while.