Open Access

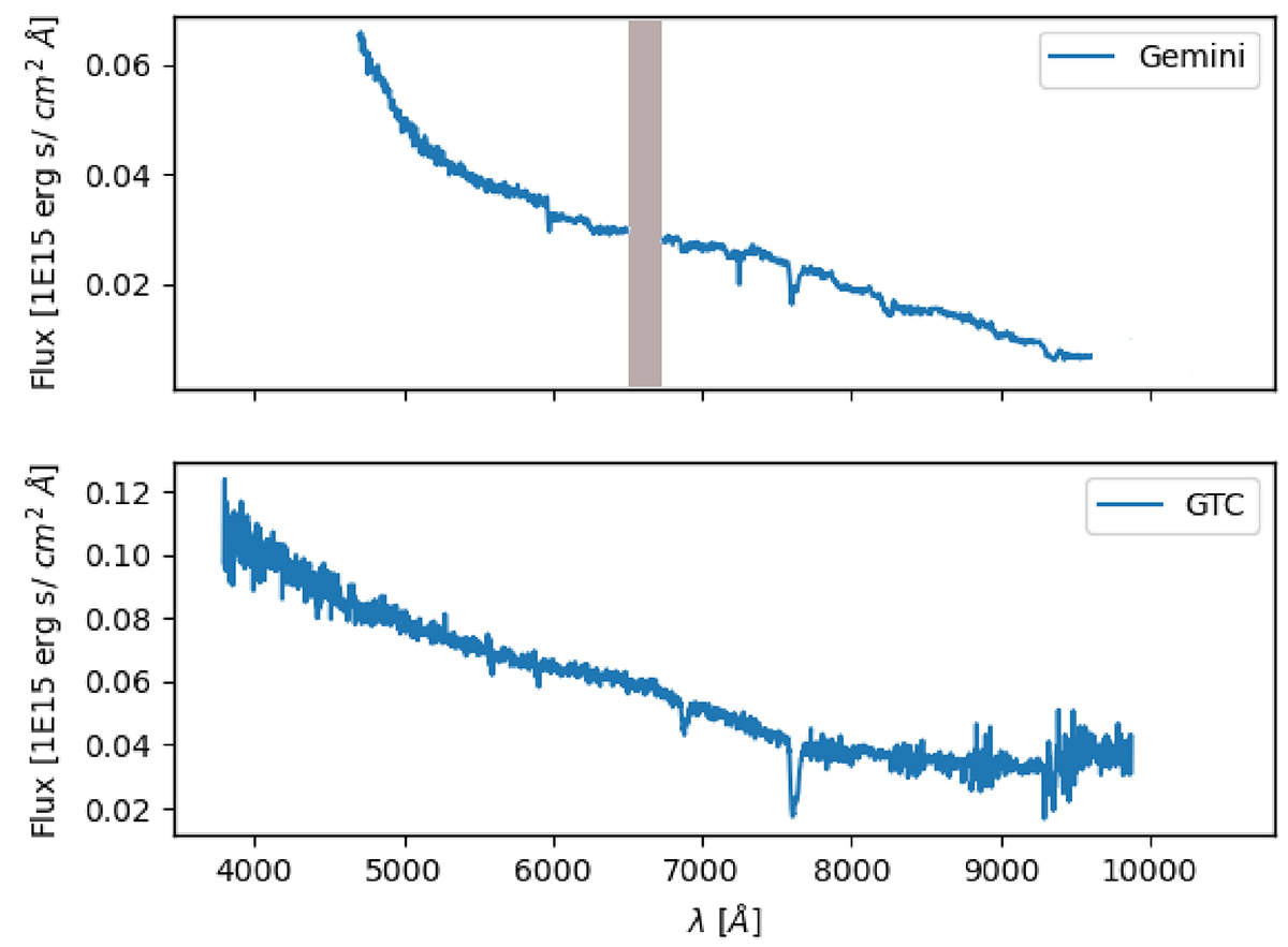
Fig. 2.

image

Download original image

Optical spectra of WISE J141046.00+740511.2. Top panel: spectrum taken with Gemini GMOS-N. Bottom: spectrum taken with GTC-OSIRIS. In both cases, all absorption features are either due to atmospheric absorption (telluric lines), or instrumental artifacts (such as the CCD gap in the GMOS-N data).

Current usage metrics show cumulative count of Article Views (full-text article views including HTML views, PDF and ePub downloads, according to the available data) and Abstracts Views on Vision4Press platform.

Data correspond to usage on the plateform after 2015. The current usage metrics is available 48-96 hours after online publication and is updated daily on week days.

Initial download of the metrics may take a while.