Open Access

Fig. 4.

image

Download original image

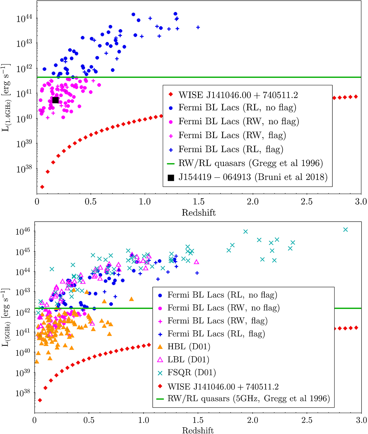
Luminosity of WISE J141046.00+740511.2 at 1.4 GHz as a function of redshift (red dotted line). The threshold of Gregg et al. (1996; green solid line) separates the BZCAT sample of known-redshift BL Lac sources into radio-loud (blue) and radio-weak (magenta) blazars. The red dotted line (diamonds) shows the luminosity that WISE J141046.00+740511.2 would have as a function of redshift according to our 1.4 GHz data. The black square shows the position of the confirmed RWBL J154419−064913. In the lower panel, we show a comparison of the extrapolated luminosity at 5 GHz of our source (red dotted line) with the sample of HBL (orange filled triangles), LBL (open pink triangles), and FSRQ (cyan crosses) blazars.

Current usage metrics show cumulative count of Article Views (full-text article views including HTML views, PDF and ePub downloads, according to the available data) and Abstracts Views on Vision4Press platform.

Data correspond to usage on the plateform after 2015. The current usage metrics is available 48-96 hours after online publication and is updated daily on week days.

Initial download of the metrics may take a while.