Open Access

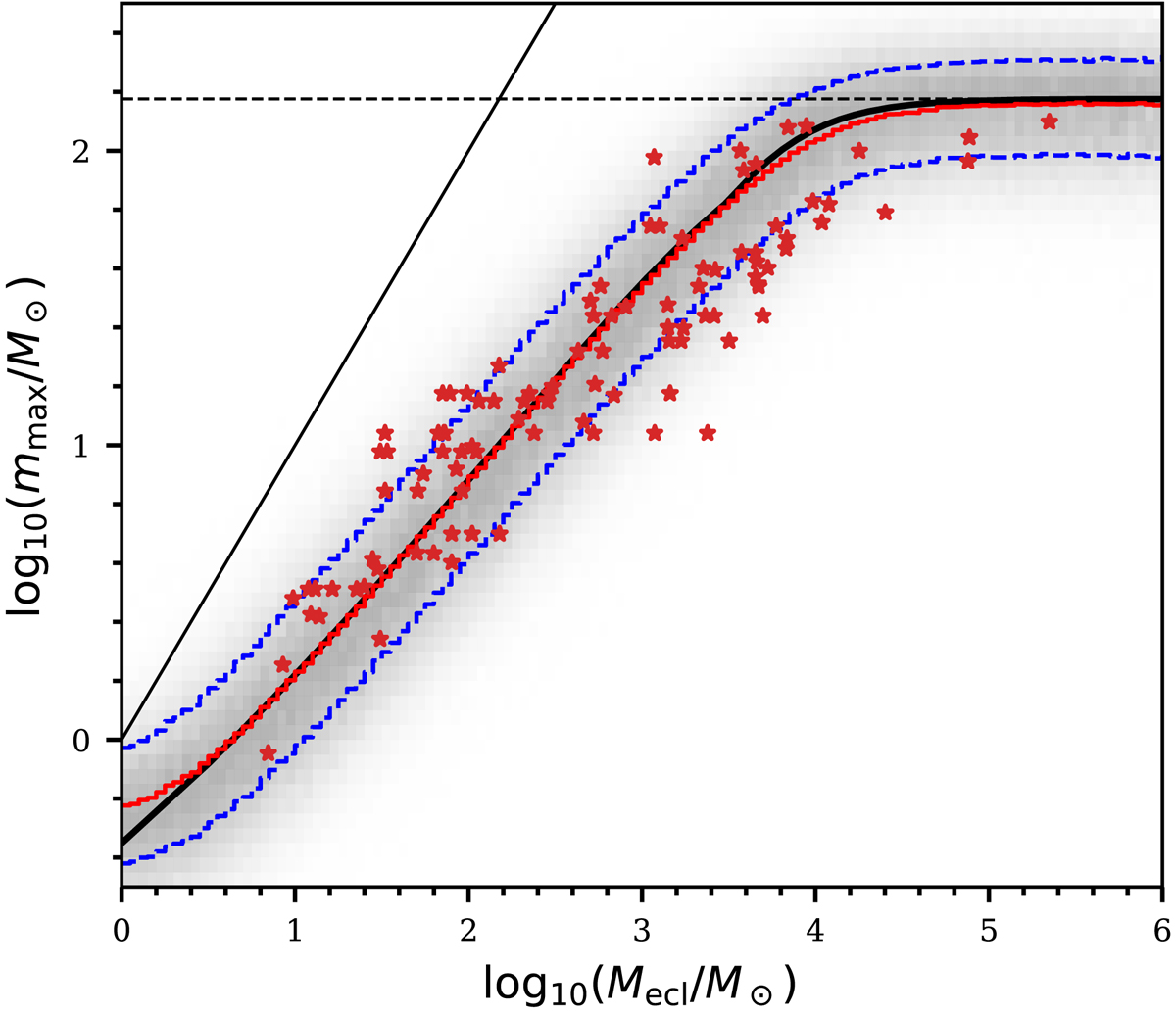
Fig. 5.

image

Download original image

Same as Fig. 2 but with the optimally sampled clusters (the smooth black solid curve) with no intrinsic mmax − Mecl scatter. By assuming a stellar population in an embedded cluster of stellar mass Mecl in an optimal draw from the canonical IMF, the observed distribution is obtained naturally once the observational uncertainties are taken into account. This is not the case for a randomly drawn canonical IMF (Fig. 2).

Current usage metrics show cumulative count of Article Views (full-text article views including HTML views, PDF and ePub downloads, according to the available data) and Abstracts Views on Vision4Press platform.

Data correspond to usage on the plateform after 2015. The current usage metrics is available 48-96 hours after online publication and is updated daily on week days.

Initial download of the metrics may take a while.