Open Access

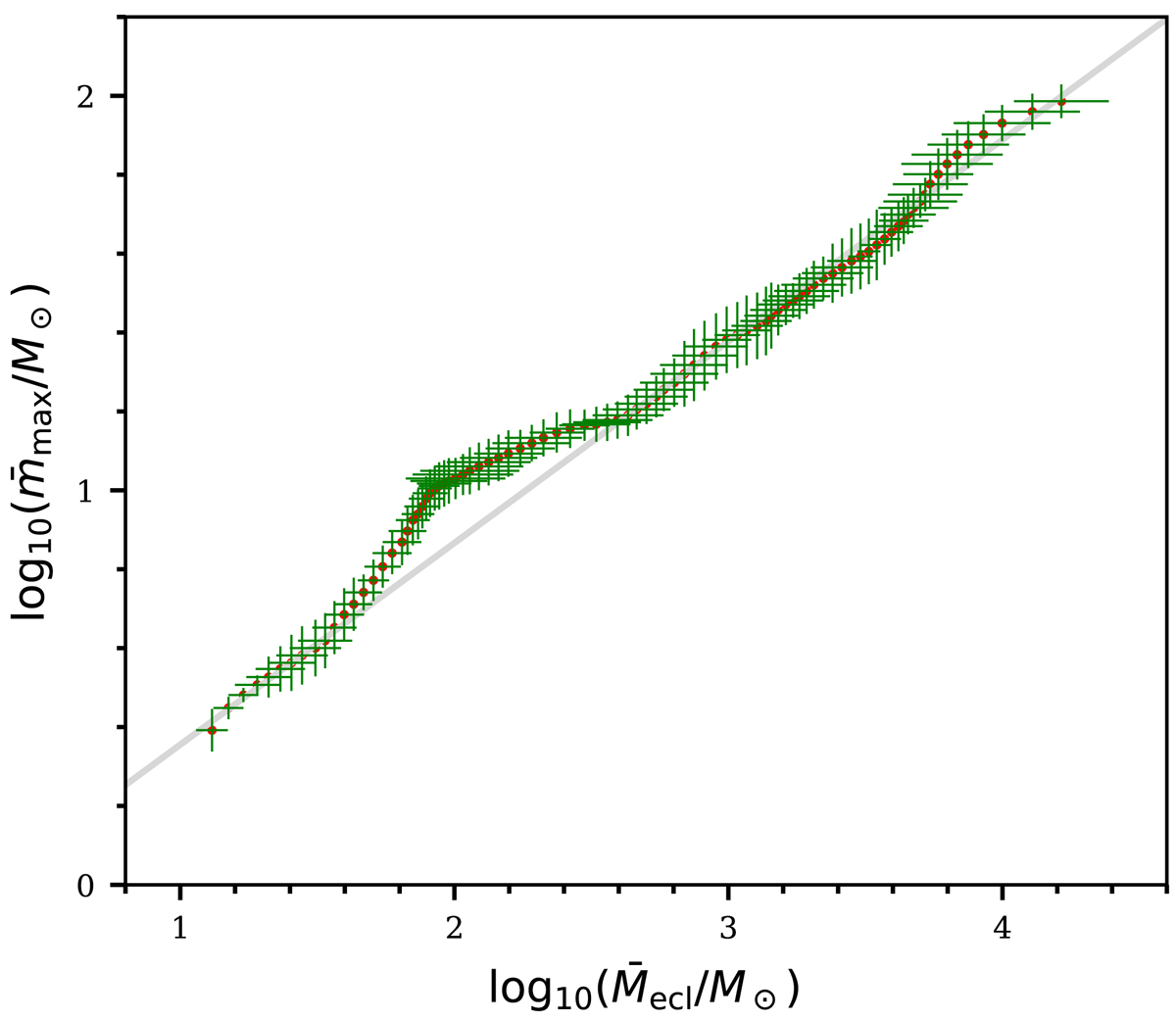
Fig. 6.

image

Download original image

Average position of the observational data for the groups of ten nearest points in the mmax − Mecl relation. The linear grey line highlights that the clusters with a mass of between 101.8M = 63 M and 102.6M = 400 M depart from the linear relation.

Current usage metrics show cumulative count of Article Views (full-text article views including HTML views, PDF and ePub downloads, according to the available data) and Abstracts Views on Vision4Press platform.

Data correspond to usage on the plateform after 2015. The current usage metrics is available 48-96 hours after online publication and is updated daily on week days.

Initial download of the metrics may take a while.