Open Access

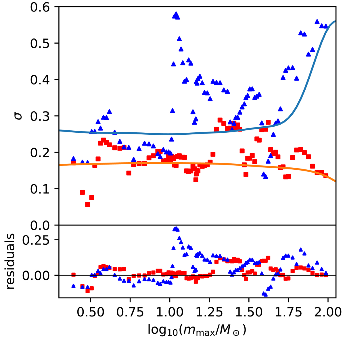
Fig. 7.

image

Download original image

Standard deviation of Mecl (blue triangles) and mmax (red squares) for the groups of ten nearest points in the mmax − Mecl relation. The orange and the blue curves in the upper panel are the synthetic relations assuming optimal sampling of stars. The lower panel shows the difference between the model and the observations.

Current usage metrics show cumulative count of Article Views (full-text article views including HTML views, PDF and ePub downloads, according to the available data) and Abstracts Views on Vision4Press platform.

Data correspond to usage on the plateform after 2015. The current usage metrics is available 48-96 hours after online publication and is updated daily on week days.

Initial download of the metrics may take a while.