Open Access

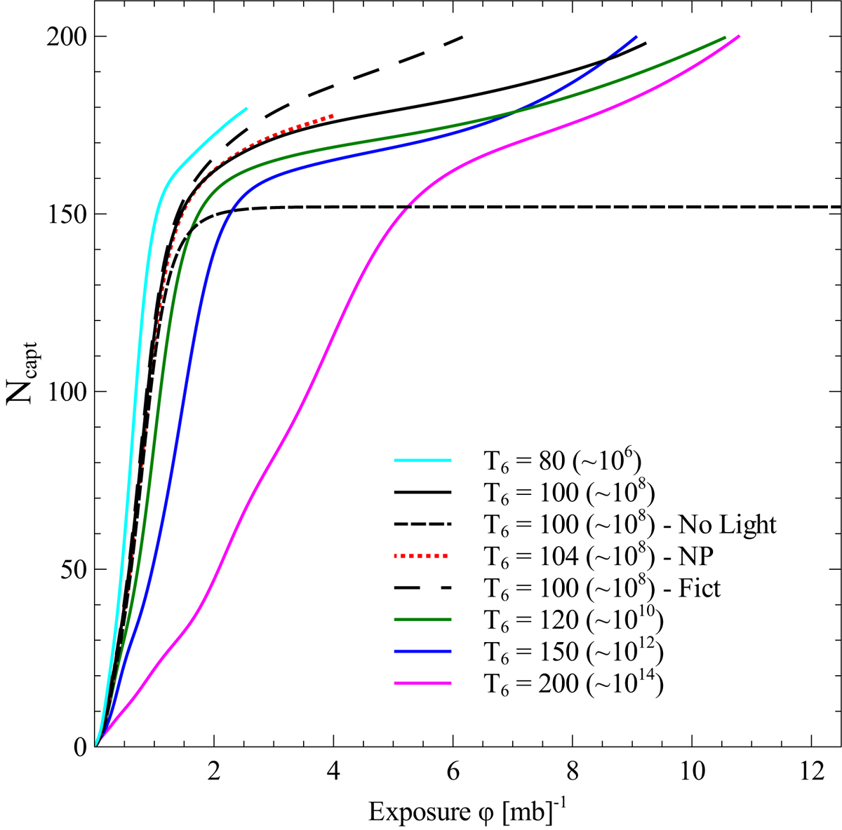
Fig. 1.

image

Download original image

Number of neutrons captured per heavy seed as a function of exposure ϕ for different temperatures (expressed in units of T6 = 106 K). The curves move from left to right with increasing temperature. The value in parentheses represents the typical neutron densities in cm−3 associated to the burning temperature. The T6 = 100, No Light case has the same composition as T6 = 100, but the abundance of nuclei with 13 < Ai < 56 is set to zero. The NP case accounts for enhanced abundances of neutron poisons (see text). The T6 = 100 – Fict case uses the fictitious network.

Current usage metrics show cumulative count of Article Views (full-text article views including HTML views, PDF and ePub downloads, according to the available data) and Abstracts Views on Vision4Press platform.

Data correspond to usage on the plateform after 2015. The current usage metrics is available 48-96 hours after online publication and is updated daily on week days.

Initial download of the metrics may take a while.