Open Access

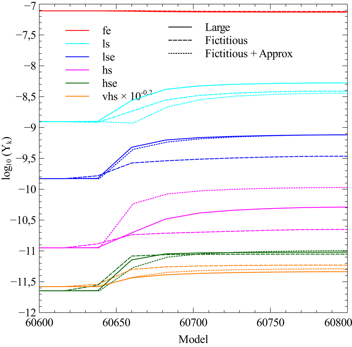
Fig. A.1.

image

Download original image

Evolution of the averaged abundances of the fictitious particles during the convective s-process in a 3M, [Fe/H]=-2.5 star using the large network (Large; solid line), the fictitious network without modifications (Fictitious; dashed line), and the fictitious network with approximated reaction rates (Fictitious + Approx; dotted line). The abundances are averaged over the maximum extent of the convective shell (0.810 ≤ Mr/M ≤ 0.817528). The mean abundance Yvhs is multiplied by 10−0.2 to distinguish it from Yhse. The thermal pulse starts at model 60609 and ends at model 61002, corresponding to a duration of 39 years.

Current usage metrics show cumulative count of Article Views (full-text article views including HTML views, PDF and ePub downloads, according to the available data) and Abstracts Views on Vision4Press platform.

Data correspond to usage on the plateform after 2015. The current usage metrics is available 48-96 hours after online publication and is updated daily on week days.

Initial download of the metrics may take a while.