Open Access

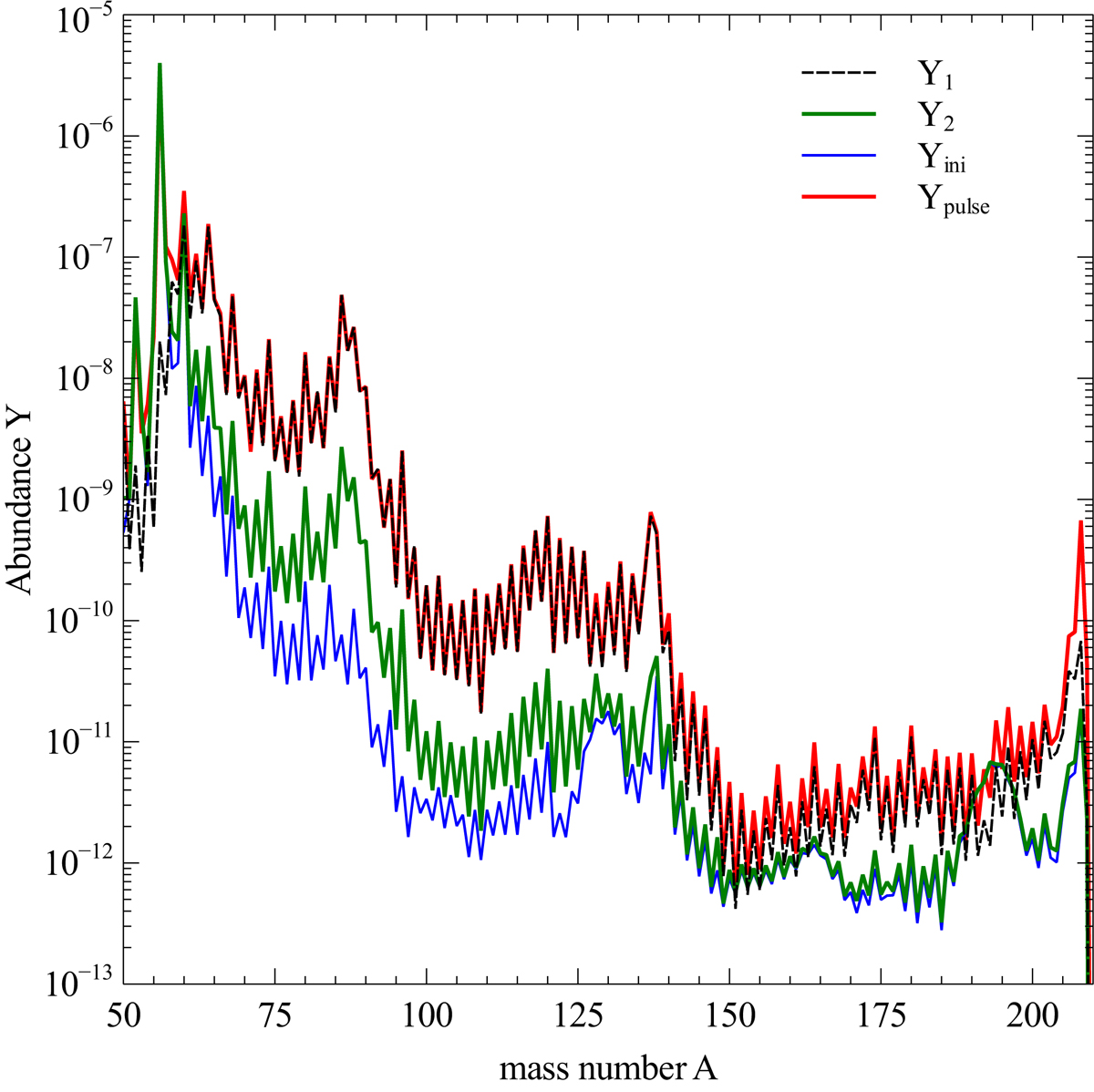
Fig. A.2.

image

Download original image

Distribution of elements entering the pulse composition. Ypulse is the average composition in the thermal pulse, Y1 and Y2 are the average compositions between mbot and m3DU and m3DU and mtop, respectively. Both are computed a few models before the thermal pulse. Yini is the initial distribution of nuclei in the star.

Current usage metrics show cumulative count of Article Views (full-text article views including HTML views, PDF and ePub downloads, according to the available data) and Abstracts Views on Vision4Press platform.

Data correspond to usage on the plateform after 2015. The current usage metrics is available 48-96 hours after online publication and is updated daily on week days.

Initial download of the metrics may take a while.