Open Access

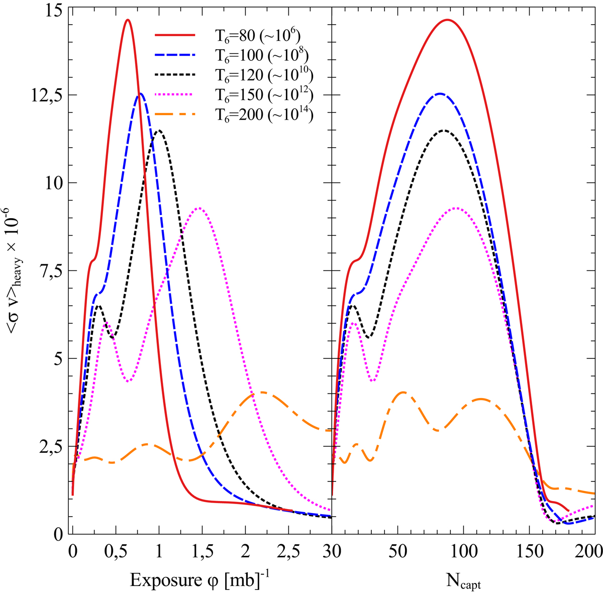
Fig. 2.

image

Download original image

σvheavy (in units of [cm3 s−1 mol−1]) as a function of exposure ϕ (left panel) and number of neutrons captured per initial heavy seed Ncapt (right panel) for one-zone simulations where 13C burns at the temperatures indicated on the legend. The corresponding approximate neutron densities in cm−3 are indicated in parentheses.

Current usage metrics show cumulative count of Article Views (full-text article views including HTML views, PDF and ePub downloads, according to the available data) and Abstracts Views on Vision4Press platform.

Data correspond to usage on the plateform after 2015. The current usage metrics is available 48-96 hours after online publication and is updated daily on week days.

Initial download of the metrics may take a while.