Open Access

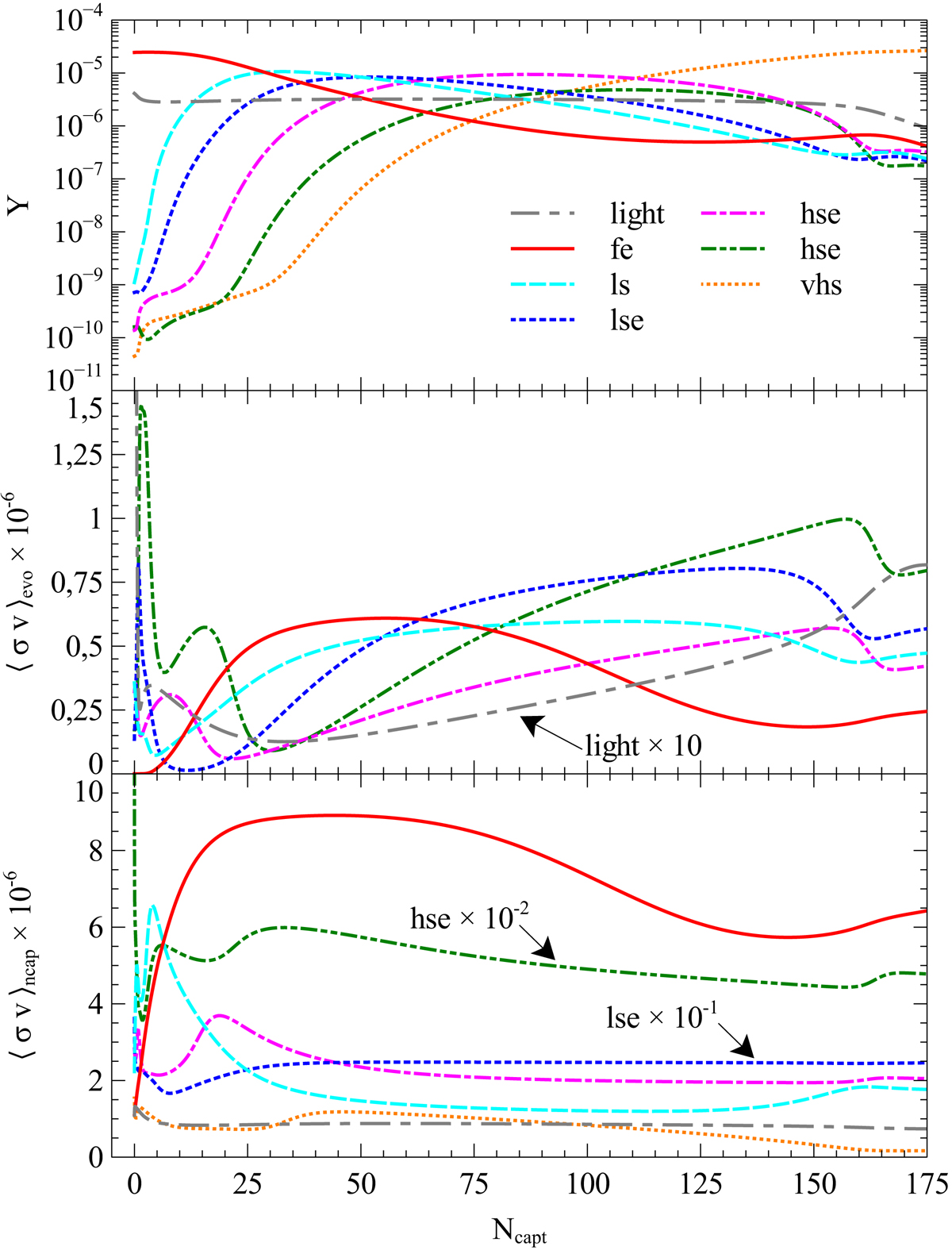
Fig. 3.

image

Download original image

Evolution of the abundances of fictitious particles Yk and the effective reaction rates ⟨σvncap and ⟨σvevo (in units of [cm3 s−1 mol−1]) in terms of Ncapt for all fictitious particles. The computations are performed at T6 = 80, corresponding to a typical neutron density of 2.5 × 106 cm−3.

Current usage metrics show cumulative count of Article Views (full-text article views including HTML views, PDF and ePub downloads, according to the available data) and Abstracts Views on Vision4Press platform.

Data correspond to usage on the plateform after 2015. The current usage metrics is available 48-96 hours after online publication and is updated daily on week days.

Initial download of the metrics may take a while.