Open Access

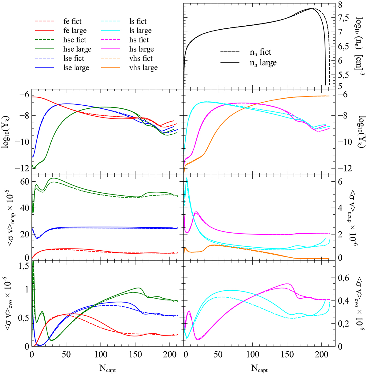
Fig. 7.

image

Download original image

Evolution of the neutron density (first row), abundances of fictitious particles (second row), effective neutron-capture reaction rates ⟨σvncap, k (third row) and reaction rates ⟨σvevo, k (fourth row) as a function of Ncapt during the first interpulse phase in a star of 2 M and [Fe/H] = −2 at the mass coordinate Mr = 0.599 M. The reaction rates are given units of [cm3 s−1 mol−1].

Current usage metrics show cumulative count of Article Views (full-text article views including HTML views, PDF and ePub downloads, according to the available data) and Abstracts Views on Vision4Press platform.

Data correspond to usage on the plateform after 2015. The current usage metrics is available 48-96 hours after online publication and is updated daily on week days.

Initial download of the metrics may take a while.