Open Access

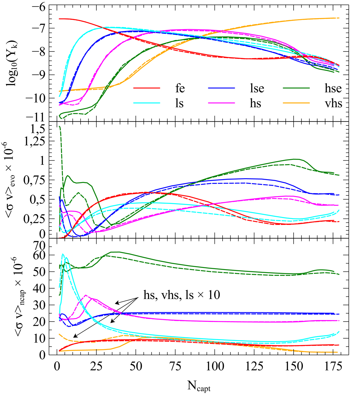
Fig. 9.

image

Download original image

Evolution of the abundances and reaction rates in the units of [cm3 s−1 mol−1]: as a function of Ncapt in the large (full lines) and fictitious (dashed lines) networks during the seventh interpulse of a 2 M, [Fe/H] = −2 star. The effective neutron-capture rate of ls, hs, and vhs was multiplied by 10 for readability.

Current usage metrics show cumulative count of Article Views (full-text article views including HTML views, PDF and ePub downloads, according to the available data) and Abstracts Views on Vision4Press platform.

Data correspond to usage on the plateform after 2015. The current usage metrics is available 48-96 hours after online publication and is updated daily on week days.

Initial download of the metrics may take a while.