Open Access

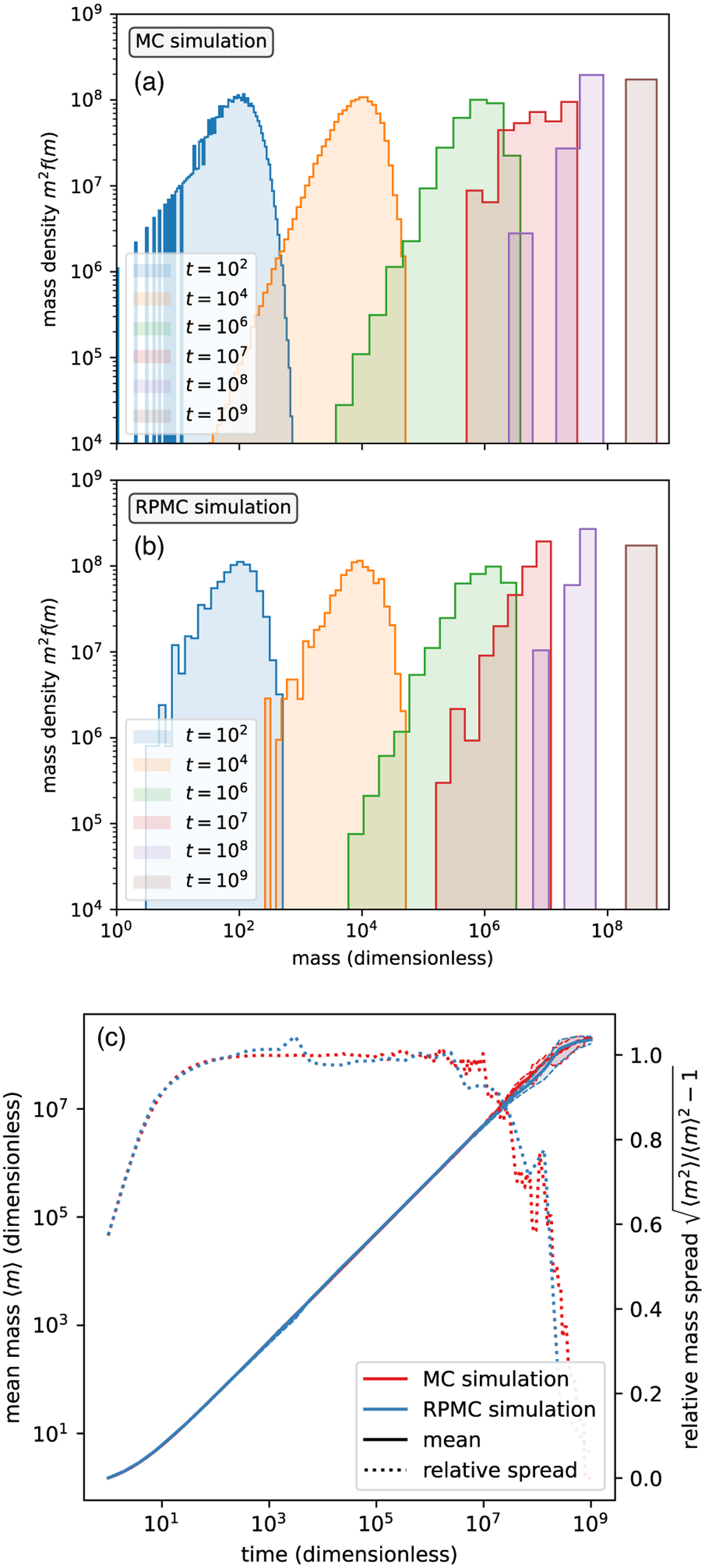
Fig. 3

image

Download original image

Transition into the few-particles regime for the constant kernel Eq. (88): (a) Fiducial non-representative Monte Carlo simulation with n = 108 particles; (b) RPMC simulation with n = 1 024 RPs; (c) mean mass 〈m〉 and relative mass spread of both simulations in comparison. The discontinuities in (a) at t = 102 are an aliasing effect caused by histogram binning. (a) and (b) show snapshots of a single simulation, while (c) shows results averaged over 10 runs, with statistical error bounds indicated the by dashed curves.

Current usage metrics show cumulative count of Article Views (full-text article views including HTML views, PDF and ePub downloads, according to the available data) and Abstracts Views on Vision4Press platform.

Data correspond to usage on the plateform after 2015. The current usage metrics is available 48-96 hours after online publication and is updated daily on week days.

Initial download of the metrics may take a while.