Open Access

Fig. 10

image

Download original image

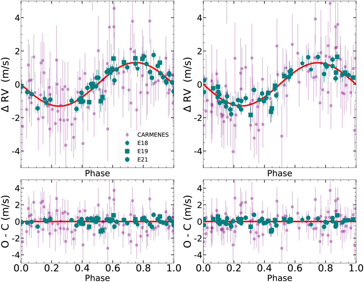
Planetary signals. Top left panel: RVs of GJ 1002 b phase folded with a period of 10.35 days, after subtracting the activity model and the signal at 20.2 days. Top right panel: RVs of GJ 1002 b phase folded with a period of 20.2 days, after subtracting the activity model and the signal at 10.335 days. Bottom panels: corresponding phase folded residuals.

Current usage metrics show cumulative count of Article Views (full-text article views including HTML views, PDF and ePub downloads, according to the available data) and Abstracts Views on Vision4Press platform.

Data correspond to usage on the plateform after 2015. The current usage metrics is available 48-96 hours after online publication and is updated daily on week days.

Initial download of the metrics may take a while.