Open Access

Fig. A.5.

image

Download original image

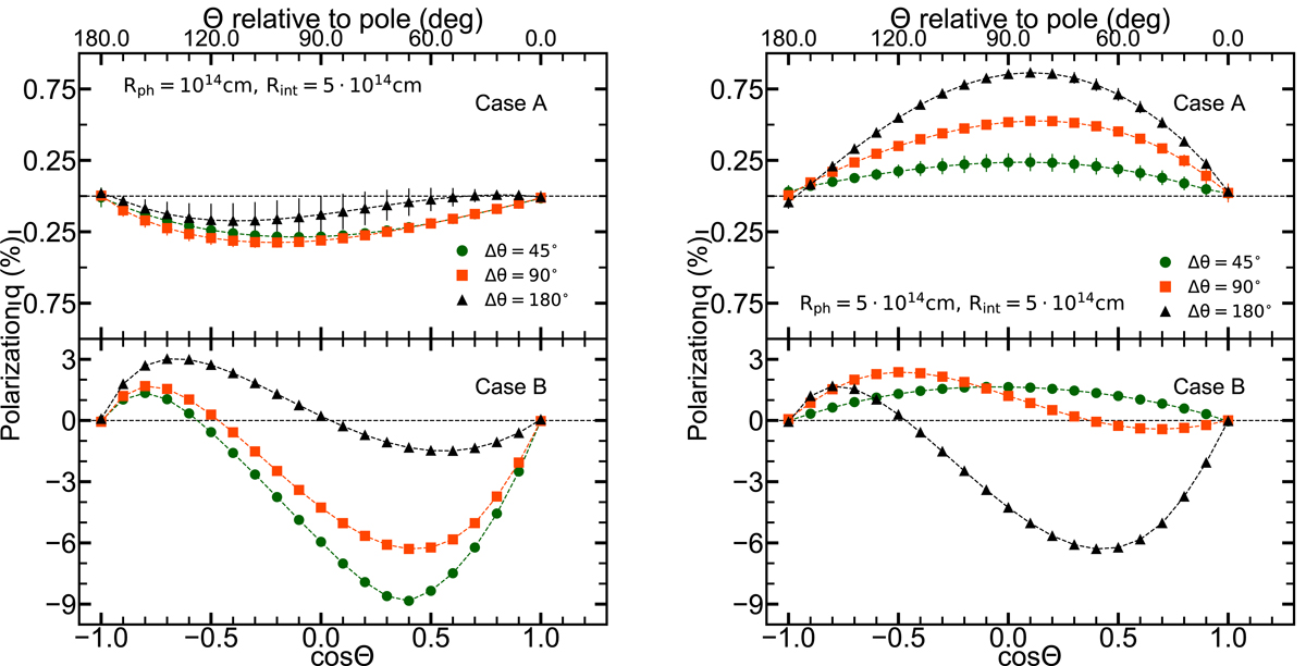
Investigating the polarization as a function of the viewing angle Θ for varying Δθ while we keep Rph and Rint fixed (Left panel: Rph = 1014 cm, Rint = 5 × 1014 cm, Right panel: Rph = 5 × 1014 cm, Rint = 5 × 1014 cm). The upper panels are for the high mass Case A and the lower panels for the low mass Case B. Different distances between Rph and Rint affect the outcome of varying Δθ.

Current usage metrics show cumulative count of Article Views (full-text article views including HTML views, PDF and ePub downloads, according to the available data) and Abstracts Views on Vision4Press platform.

Data correspond to usage on the plateform after 2015. The current usage metrics is available 48-96 hours after online publication and is updated daily on week days.

Initial download of the metrics may take a while.