Open Access
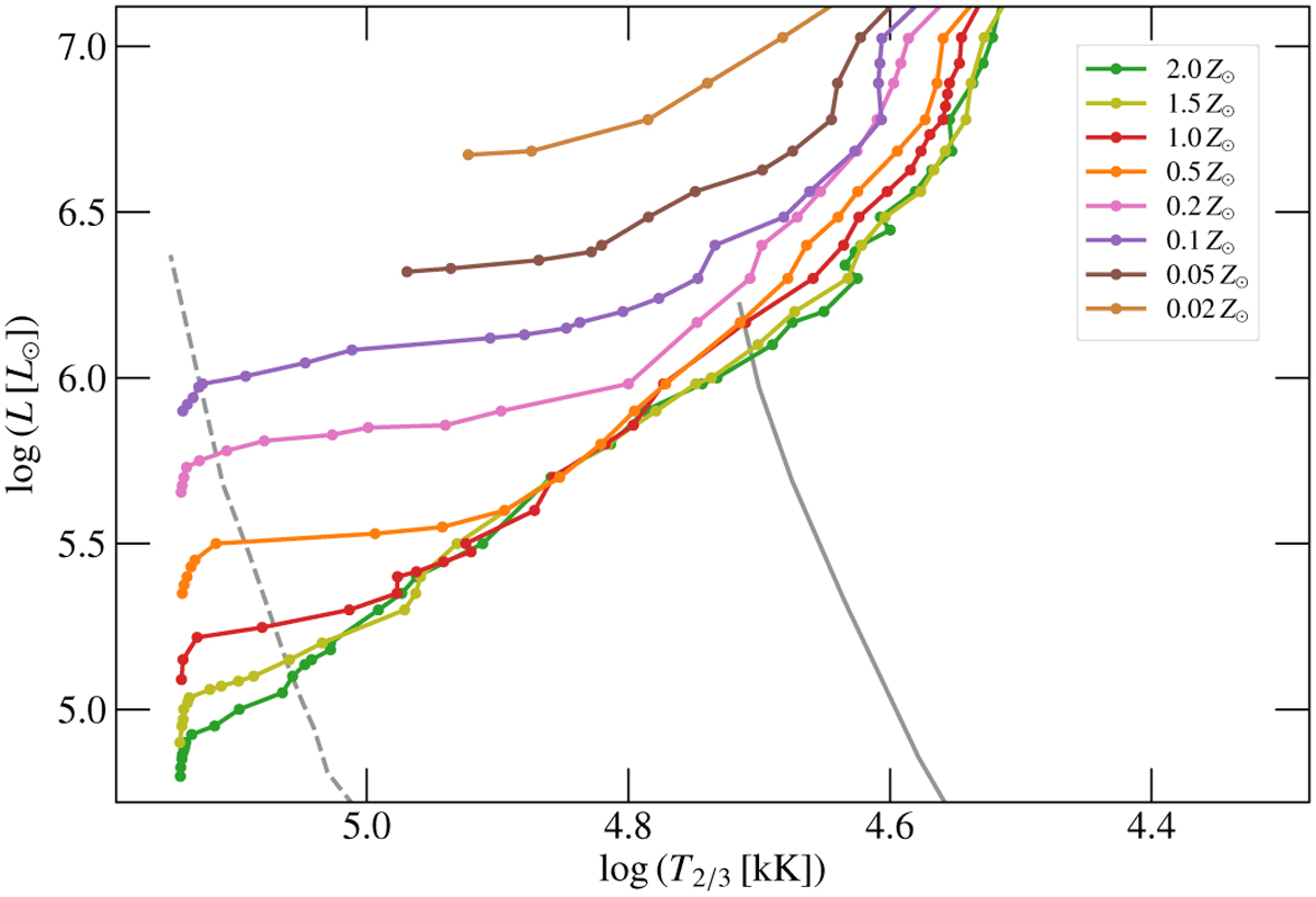
Fig. B.1

Download original image
HRD with the effective temperature T2/з defined at a Rosseland optical depth of τRoss = 2/3 and the model luminosity L for our sets of He ZAMS models at different Z. For comparison, the HeZAMS (gray, dashed) and ZAMS (gray, solid) are shown as well.
Current usage metrics show cumulative count of Article Views (full-text article views including HTML views, PDF and ePub downloads, according to the available data) and Abstracts Views on Vision4Press platform.
Data correspond to usage on the plateform after 2015. The current usage metrics is available 48-96 hours after online publication and is updated daily on week days.
Initial download of the metrics may take a while.