Fig. 2

Download original image
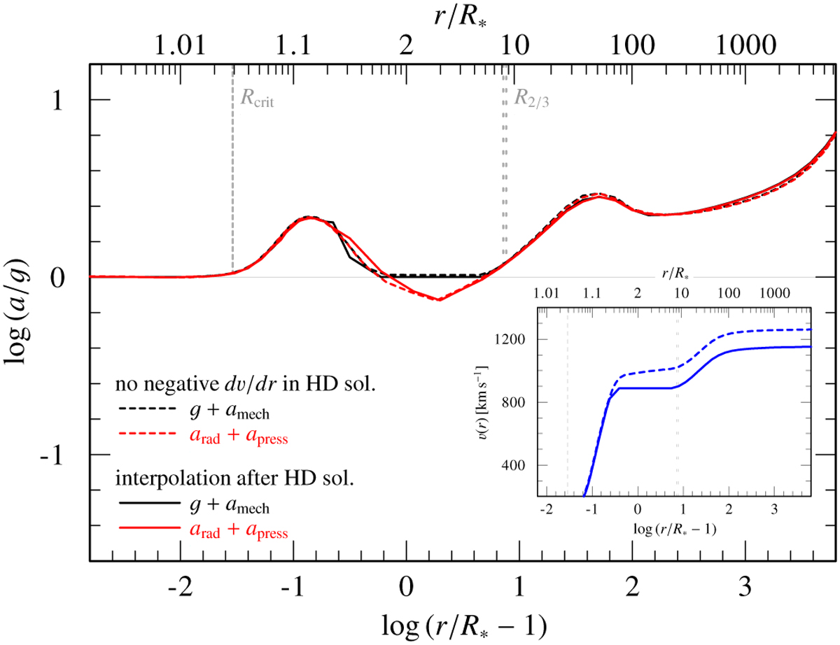
Resulting acceleration stratification of the converged models with two different treatments of nonmonotonic velocity fields: The dashed red and black lines illustrate the two sides of the hydrodynamic equation of motion for a model where negative velocity gradients are ignored in the solution. The corresponding solid lines show the result for the alternative method where the nonmonotonic υ(r) is interpolated afterwards. The small inlet shows the resulting velocity fields for both models. In this example we show models with T* = 125 kK, log L/L⊙ = 5.475 and M = 15 M⊙.
Current usage metrics show cumulative count of Article Views (full-text article views including HTML views, PDF and ePub downloads, according to the available data) and Abstracts Views on Vision4Press platform.
Data correspond to usage on the plateform after 2015. The current usage metrics is available 48-96 hours after online publication and is updated daily on week days.
Initial download of the metrics may take a while.