Press Release
Open Access

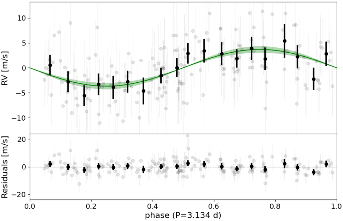
Fig. 11

image

Download original image

Phase-folded model of the RV variation seen with SPIRou of the star TOI-1695 with a 3.13-day circular orbit. The data used here are derived from APERO v7. Gray dots gather all the RV data and black dots are binned with a time step of 0.05 days.

Current usage metrics show cumulative count of Article Views (full-text article views including HTML views, PDF and ePub downloads, according to the available data) and Abstracts Views on Vision4Press platform.

Data correspond to usage on the plateform after 2015. The current usage metrics is available 48-96 hours after online publication and is updated daily on week days.

Initial download of the metrics may take a while.