Press Release
Open Access

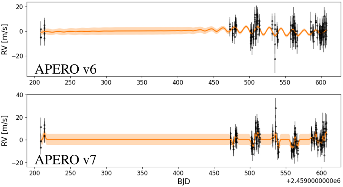
Fig. 9

image

Download original image

Gaussian process fit of the SPIRou RV in the case of the APERO v6 reduction (top) and the v7 reduction (bottom) with a quasi-periodic kernel.

Current usage metrics show cumulative count of Article Views (full-text article views including HTML views, PDF and ePub downloads, according to the available data) and Abstracts Views on Vision4Press platform.

Data correspond to usage on the plateform after 2015. The current usage metrics is available 48-96 hours after online publication and is updated daily on week days.

Initial download of the metrics may take a while.