Open Access

Fig. 7.

image

Download original image

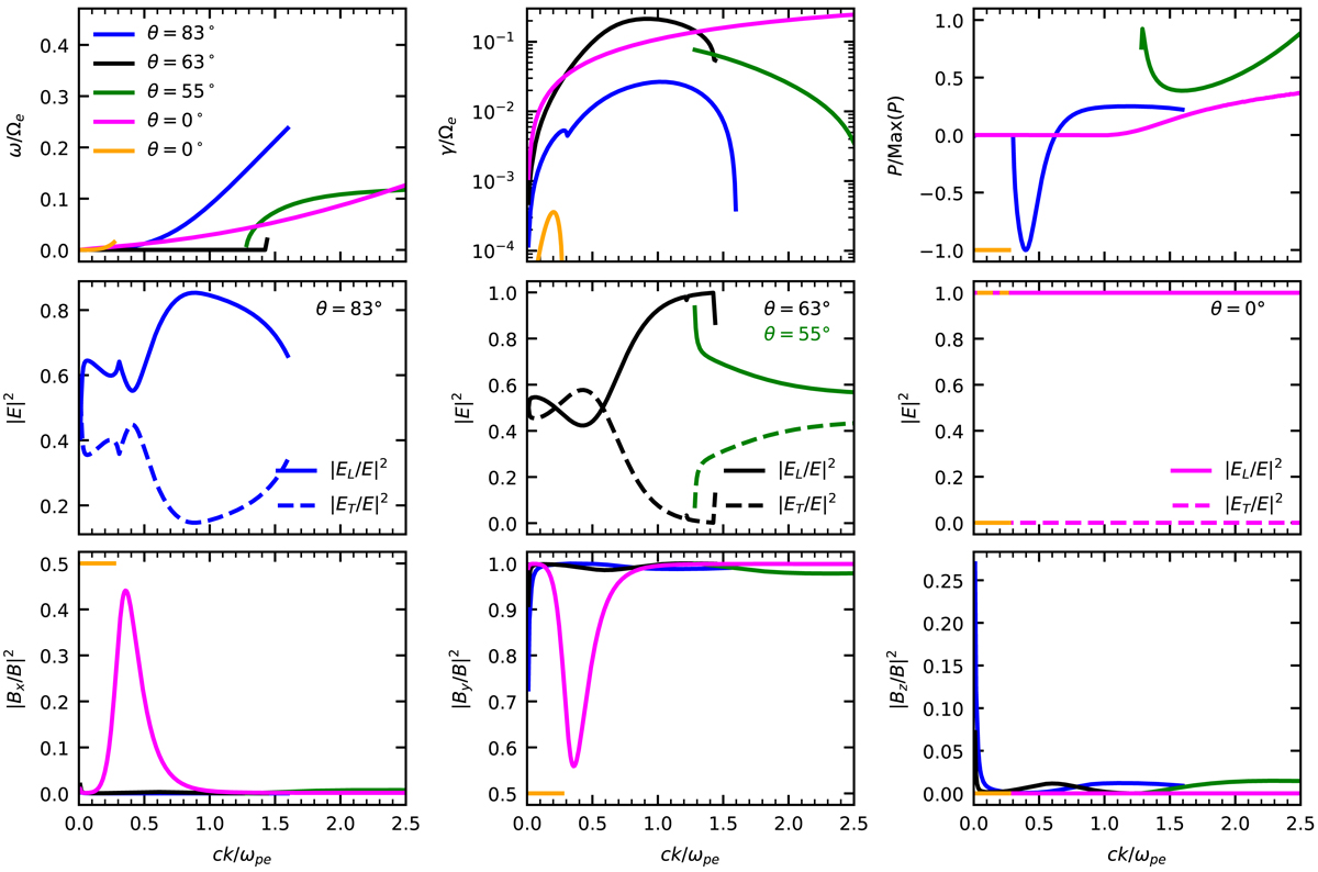
Wave-number dispersion for the fastest-growing unstable modes (with maximum growth rates) in case 4.c, corresponding to different angles of propagation (θ) and different ranges of unstable wave-numbers: BEFI at θ = 63° (black), oblique HFI-1 at θ = 55° (green), oblique HFI-2 at θ = 83° (blue), beaming ESI at θ = 0° (purple), and FHFI at θ = 0° (orange). Top panels: wave frequency (left), growth rates (center), and polarization (right). Middle panels: longitudinal and transverse components of the wave electric components. Bottom panels: cartesian components of the wave magnetic field. See further details in the text.

Current usage metrics show cumulative count of Article Views (full-text article views including HTML views, PDF and ePub downloads, according to the available data) and Abstracts Views on Vision4Press platform.

Data correspond to usage on the plateform after 2015. The current usage metrics is available 48-96 hours after online publication and is updated daily on week days.

Initial download of the metrics may take a while.