Open Access

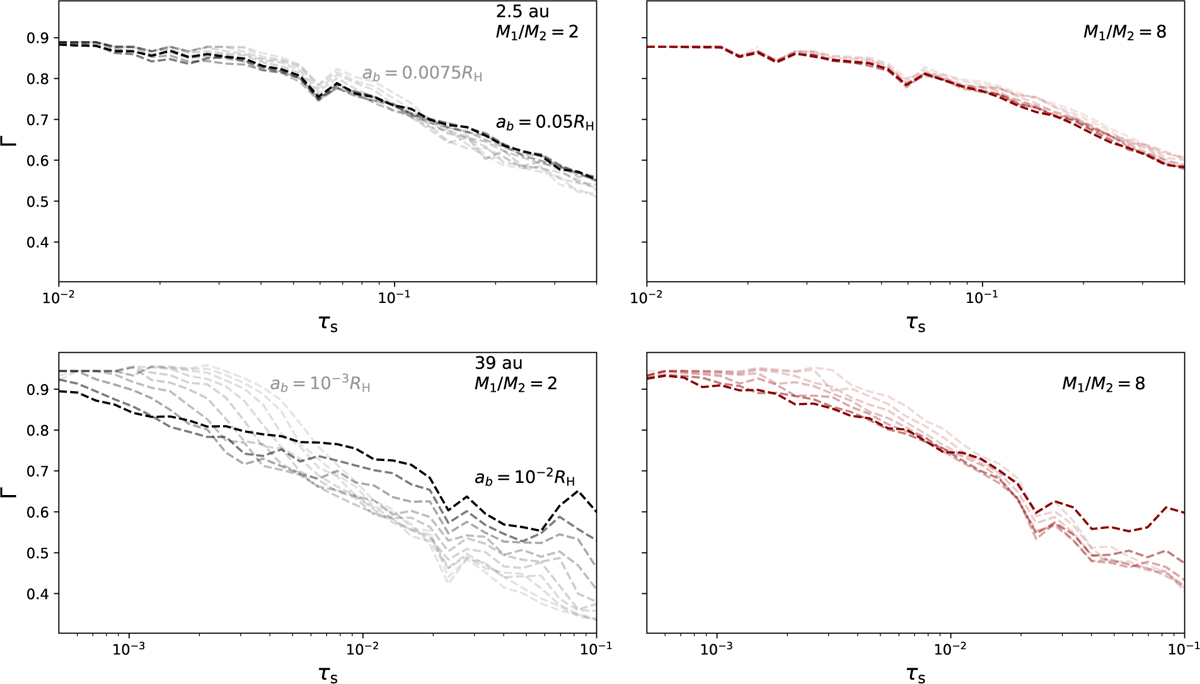
Fig. 4

image

Download original image

Growth efficiency, Γ, as described in Eq. (19). Left: mass ratio of fm = 2. Right: mass ratio of fm = 8. for a range of Stokes numbers, τs, mass-ratios, and binary separation, ab, at orbital distance of r0 = 2.5 au from the central star (top panels) and r0 = 39 au (bottom panels). The most opaque lines denote an orbital separation of ab = 0.0075RH while the most transparent lines shows an orbital separation of ab = 0.05RH, other lines indicate orbital separations going logarithmic in between.

Current usage metrics show cumulative count of Article Views (full-text article views including HTML views, PDF and ePub downloads, according to the available data) and Abstracts Views on Vision4Press platform.

Data correspond to usage on the plateform after 2015. The current usage metrics is available 48-96 hours after online publication and is updated daily on week days.

Initial download of the metrics may take a while.