Open Access

Fig. 8

image

Download original image

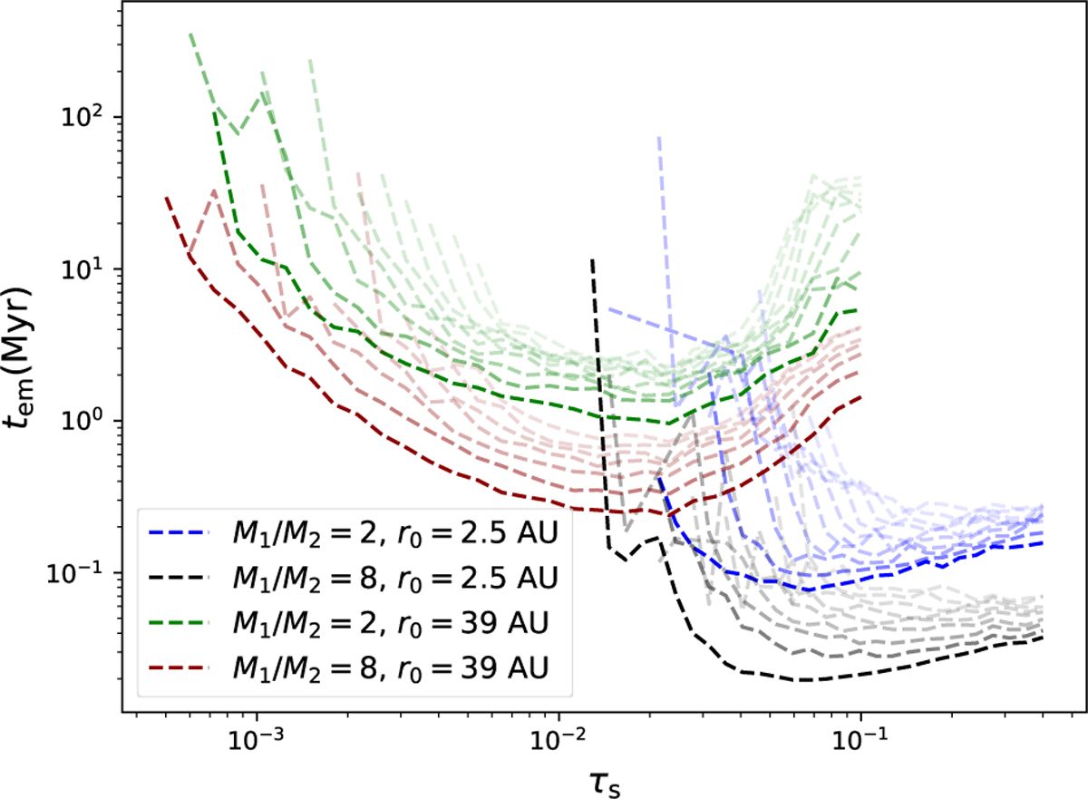
Timescale of e-folding towards equal mass tem as described in Eq. (27) for two tested mass ratios, fm = [2, 8], at two different orbital distances, r0 = [2.5, 39] AU, and at different binary separations, ab, denoted by the opaqueness of the lines. We note only the values, where are plotted since we are looking at the times it takes for the mass ratio, fm, to grow towards unity, not away from it.

Current usage metrics show cumulative count of Article Views (full-text article views including HTML views, PDF and ePub downloads, according to the available data) and Abstracts Views on Vision4Press platform.

Data correspond to usage on the plateform after 2015. The current usage metrics is available 48-96 hours after online publication and is updated daily on week days.

Initial download of the metrics may take a while.