Open Access

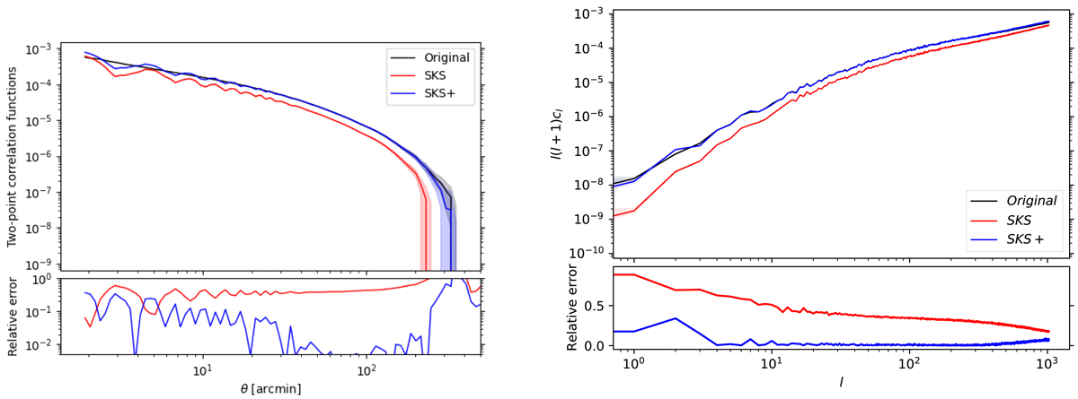
Fig. 6.

image

Download original image

Shape noise effects: Mean shear two-point correlation function (black) with corresponding mean convergence two-point correlation function from SKS (red) and SKS+ (blue) reconstruction method (left panel) and power spectrum (right panel) from SKS (red) and SKS+ (blue) reconstruction method compared to the original convergence map (black) with realistic shape noise. The estimation is only made outside the mask M. The lower panel shows the relative errors introduced by the missing data effects, that is, the normalised difference between the upper curves.

Current usage metrics show cumulative count of Article Views (full-text article views including HTML views, PDF and ePub downloads, according to the available data) and Abstracts Views on Vision4Press platform.

Data correspond to usage on the plateform after 2015. The current usage metrics is available 48-96 hours after online publication and is updated daily on week days.

Initial download of the metrics may take a while.