Open Access

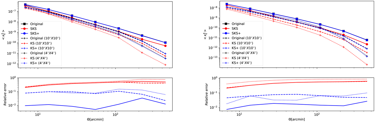
Fig. 9.

image

Download original image

Projection effects: Third-order (left panel) and fourth-order (right panel) moments estimated on seven wavelet bands of the original E-mode Convergence map (black solid line for full sky, black dashed line and black dotted line for planar approximation of 10° ×10° and 4° ×4° respectively) compared to the moments estimated on the SKS, SKS+ (red & blue solid lines respectively) and KS, KS+ (for planar, red and blue dashed and dotted lines respectively). The plots show the comparison of only one realisation for angular resolution Nside = 2048 and estimations are only made outside the mask M.

Current usage metrics show cumulative count of Article Views (full-text article views including HTML views, PDF and ePub downloads, according to the available data) and Abstracts Views on Vision4Press platform.

Data correspond to usage on the plateform after 2015. The current usage metrics is available 48-96 hours after online publication and is updated daily on week days.

Initial download of the metrics may take a while.