Open Access

Fig. D.1.

image

Download original image

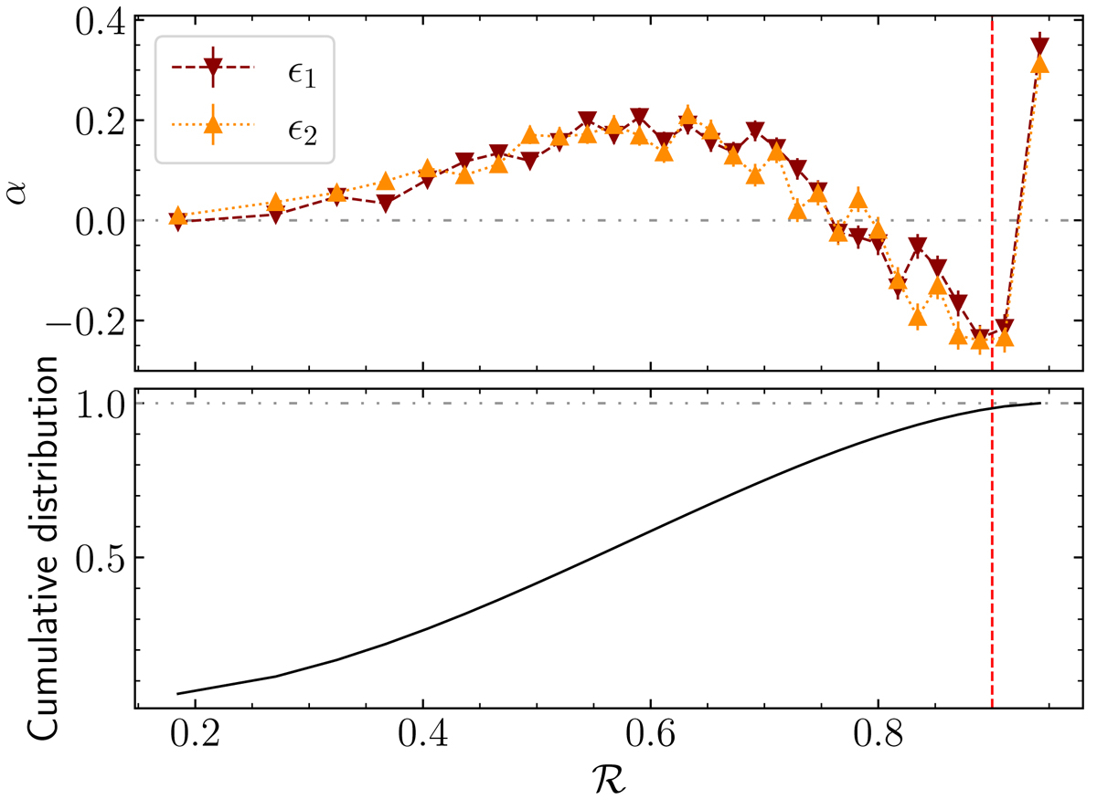
PSF leakage and effective number density as a function of the resolution factor. The upper panel shows the measured PSF leakage, whilst the lower panel shows the effective cumulative distribution. The resolution factor ℛ is defined in Eq. (7), and the PSF leakage factor α is measured from the linear regression with Eq. (9). We perform the measurement to the weighted average ellipticity ϵ1 (dark-red down-pointing triangle) and ϵ2 (dark-orange up-pointing triangle) using the lensfit measurements before the correction of PSF contamination. The vertical red dashed line indicates the proposed resolution cut of ℛ < 0.9. The loss of effective number density due to this resolution cut is ∼2 per cent.

Current usage metrics show cumulative count of Article Views (full-text article views including HTML views, PDF and ePub downloads, according to the available data) and Abstracts Views on Vision4Press platform.

Data correspond to usage on the plateform after 2015. The current usage metrics is available 48-96 hours after online publication and is updated daily on week days.

Initial download of the metrics may take a while.