Open Access

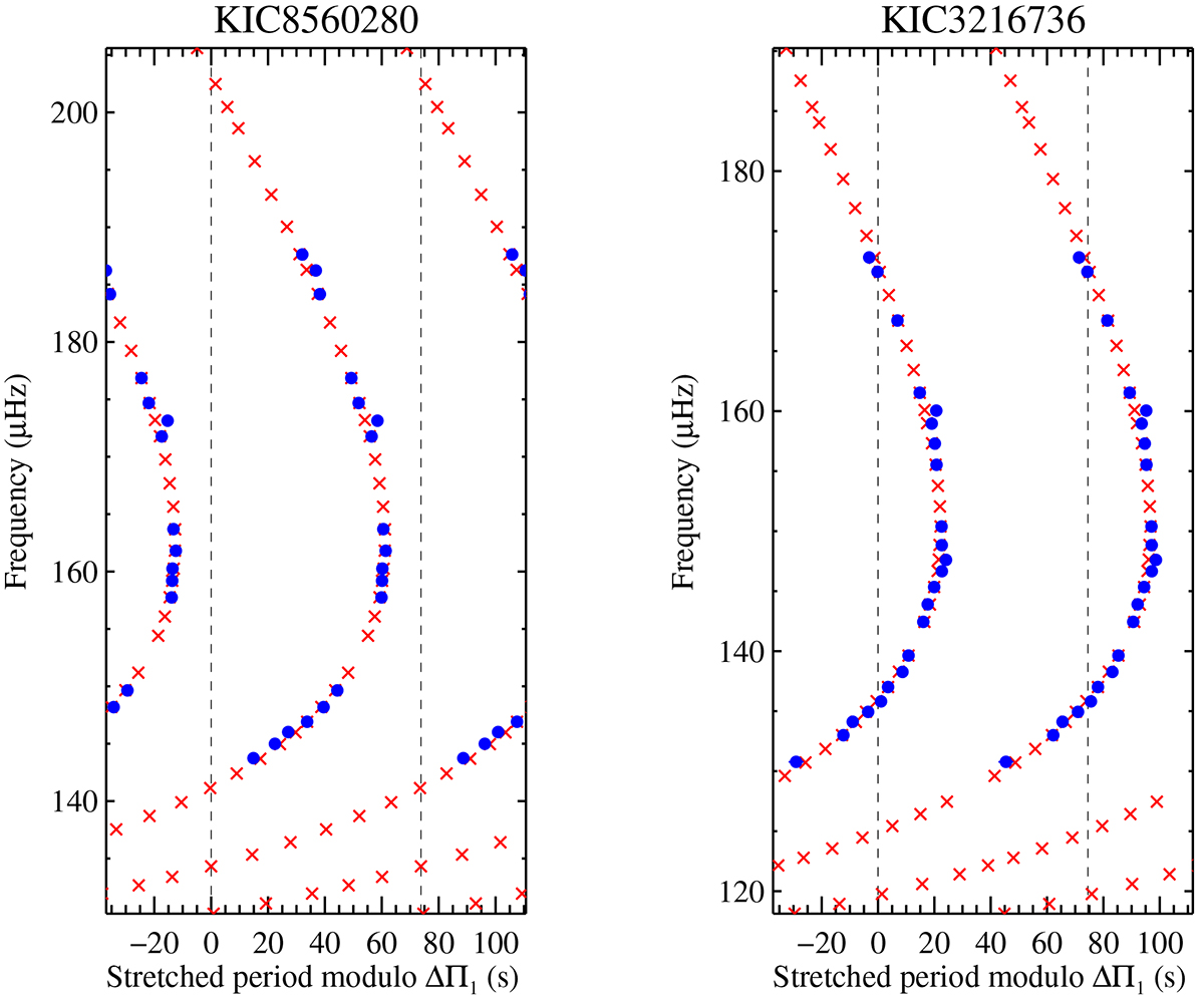
Fig. 1.

image

Download original image

Stretched period échelle diagrams of two red giants showing distortion from the regular g-mode pattern. Blue circles show detected dipole modes. Red crosses correspond to the best-fit asymptotic mixed mode frequencies obtained by including a magnetic perturbation.

Current usage metrics show cumulative count of Article Views (full-text article views including HTML views, PDF and ePub downloads, according to the available data) and Abstracts Views on Vision4Press platform.

Data correspond to usage on the plateform after 2015. The current usage metrics is available 48-96 hours after online publication and is updated daily on week days.

Initial download of the metrics may take a while.