Press Release
Open Access

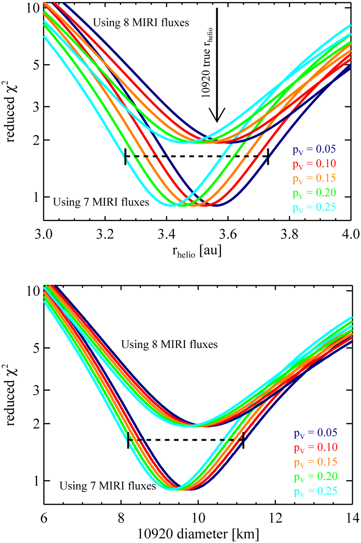
Fig. 6

image

Download original image

Results of the χ2 fitting of STM predictions to the measured MIRI fluxes of asteroid (10920). Top: assuming that the orbit of (10920) is not known, the most likely rhelio would be in the range between 3.25 and 3.75 au. Bottom: based on the MIRI data alone and assuming a spherical shape of (10920), the most likely size would be in the range between 8 and about 11.5 km.

Current usage metrics show cumulative count of Article Views (full-text article views including HTML views, PDF and ePub downloads, according to the available data) and Abstracts Views on Vision4Press platform.

Data correspond to usage on the plateform after 2015. The current usage metrics is available 48-96 hours after online publication and is updated daily on week days.

Initial download of the metrics may take a while.