Open Access

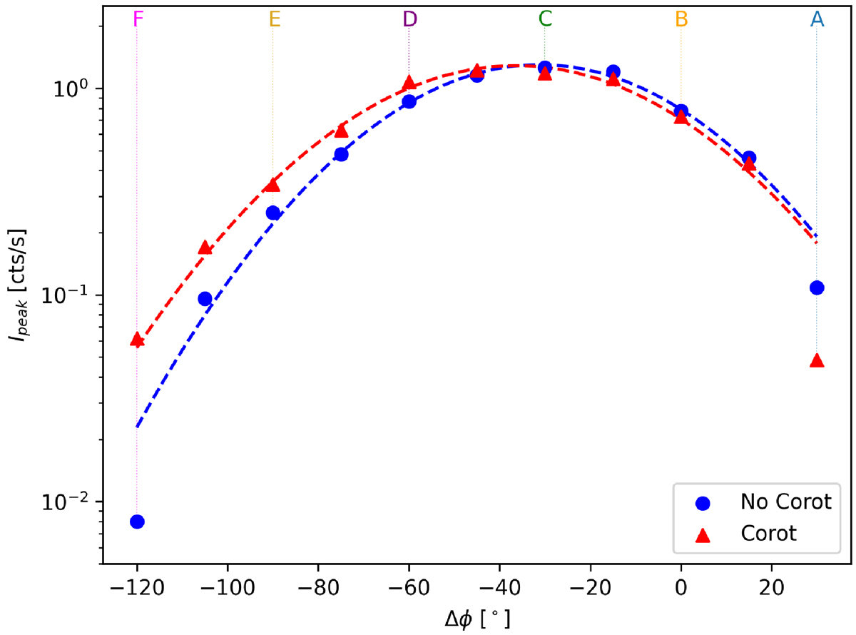
Fig. 4.

image

Download original image

Peak intensity vs. Δϕ for the six observers A-F with (red triangles) and without (blue circles) the effects of corotation for scattering conditions described by λ = 0.1 au. The points are fit with Gaussian functions shown as the dashed lines.

Current usage metrics show cumulative count of Article Views (full-text article views including HTML views, PDF and ePub downloads, according to the available data) and Abstracts Views on Vision4Press platform.

Data correspond to usage on the plateform after 2015. The current usage metrics is available 48-96 hours after online publication and is updated daily on week days.

Initial download of the metrics may take a while.