Open Access

Fig. 4.

image

Download original image

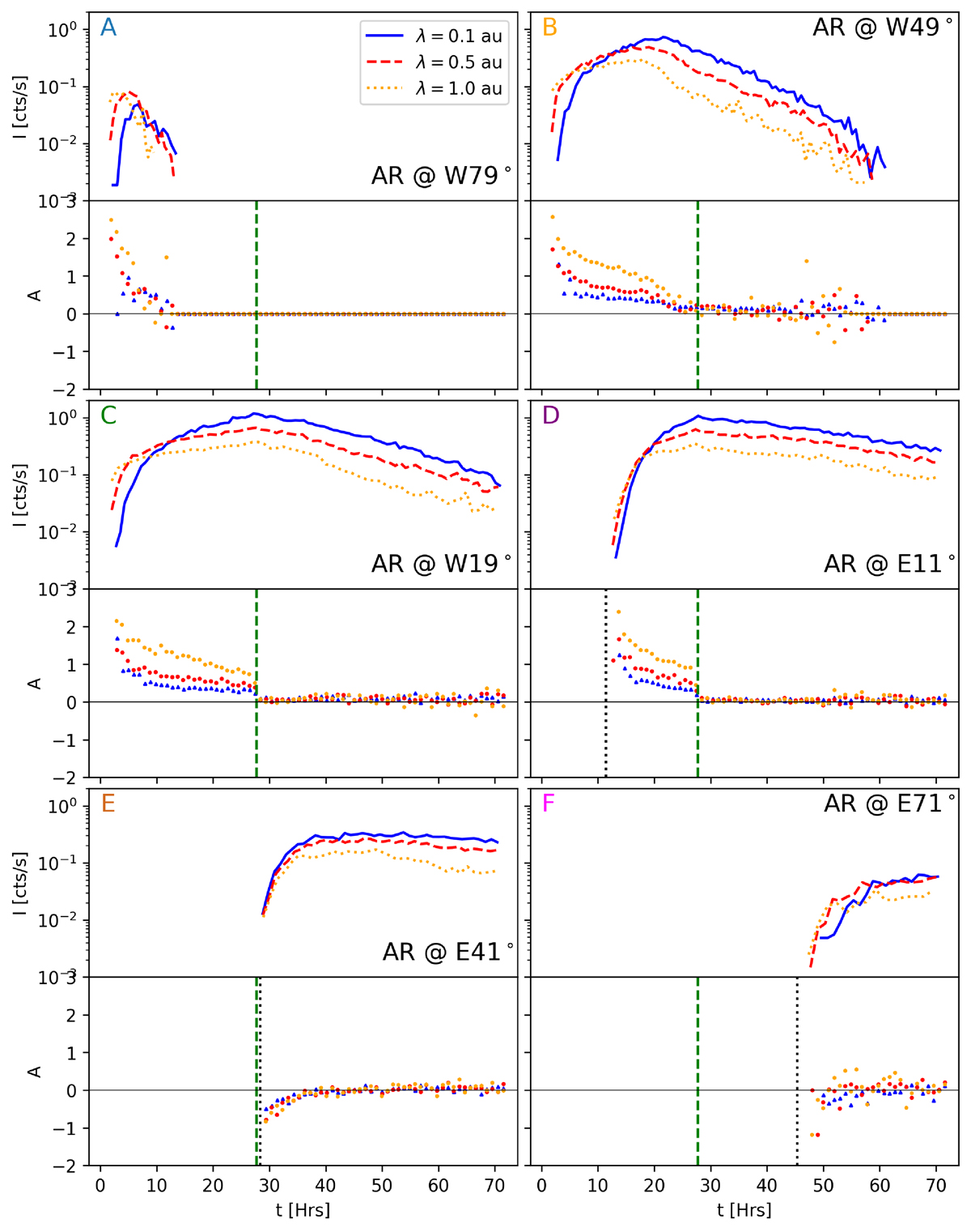
Intensity profiles of a monoenergetic population of 5 MeV protons for observers A–F at 1.0 au for a range of scattering conditions from λ = 0.1 au to λ = 1.0 au, for uniform injection in r, θ, and ϕ. The green dashed line indicates the time at which the shock reaches the observer radial distance, and the vertical dotted line shows the time when the observer establishes connection to the shock, for observers not connected at the initial time.

Current usage metrics show cumulative count of Article Views (full-text article views including HTML views, PDF and ePub downloads, according to the available data) and Abstracts Views on Vision4Press platform.

Data correspond to usage on the plateform after 2015. The current usage metrics is available 48-96 hours after online publication and is updated daily on week days.

Initial download of the metrics may take a while.