Open Access

Fig. 2.

image

Download original image

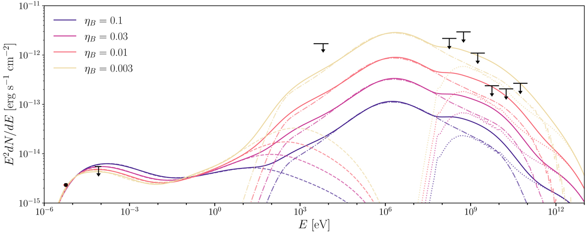
SED of the WR–WR binary Apep as modelled by del Palacio et al. (2022) for different fractions of the magnetic field energy density. It includes synchrotron emission and thermal bremsstrahlung (dashed lines), IC radiation (dot-dashed lines), and π0 decay (dotted lines). The total differential flux is represented by the solid lines, leaving out further IR, optical, and X-ray thermal components. In black, one can see the observational constraints set by the Australia Telescope Compact Array (ATCA, Callingham et al. 2019), the XMM-Newton X-ray observatory (del Palacio et al. 2022), and Fermi-LAT (this work). The high frequency-radio (19.7 GHz) and X-ray (3–10 keV) constraints are represented as upper limits given the presence (or possible existence for radio) of thermal components. Together with the ATCA limits, our SED results are compatible with 0.01 ≲ ηB ≲ 0.03 (i.e. 0.13 G ≲ B ≲ 0.27 G), which is consistent with the limits derived from the integrated photon flux.

Current usage metrics show cumulative count of Article Views (full-text article views including HTML views, PDF and ePub downloads, according to the available data) and Abstracts Views on Vision4Press platform.

Data correspond to usage on the plateform after 2015. The current usage metrics is available 48-96 hours after online publication and is updated daily on week days.

Initial download of the metrics may take a while.