Open Access

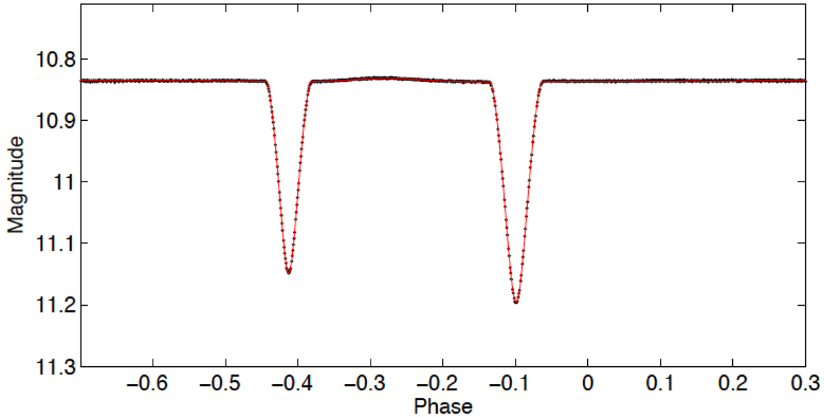
Fig. 2.

image

Download original image

Light curve of TYC 5378-1590-1 based on TESS data and the solution provided with PHOEBE. The black crosses are TESS data and the red line is the PHOEBE solution.

Current usage metrics show cumulative count of Article Views (full-text article views including HTML views, PDF and ePub downloads, according to the available data) and Abstracts Views on Vision4Press platform.

Data correspond to usage on the plateform after 2015. The current usage metrics is available 48-96 hours after online publication and is updated daily on week days.

Initial download of the metrics may take a while.