Open Access

Fig. 3

image

Download original image

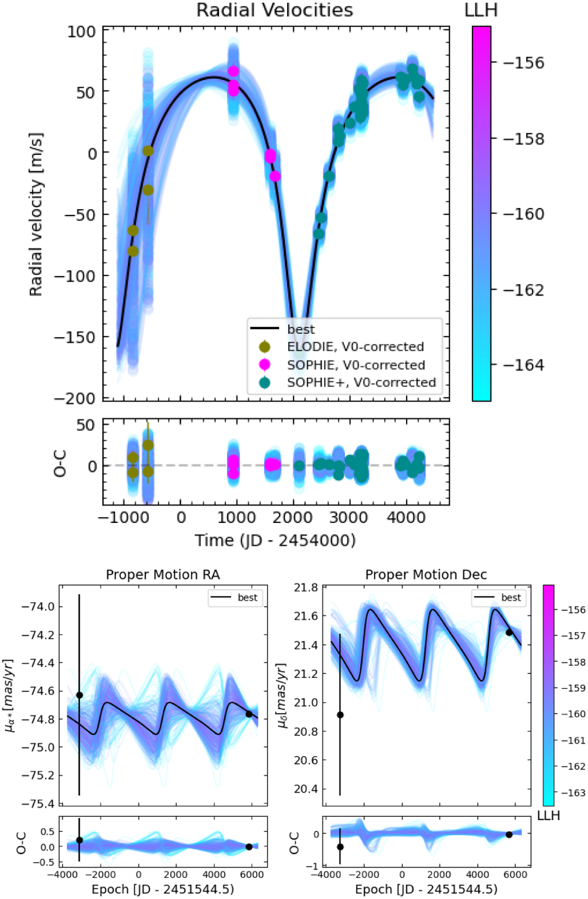
Orbital fits for HD 115954 b. Top: fit of the HD 115954 RV data corrected from the instrumental offset (V0). Bottom: fit of the HD 115954 astrometric acceleration in right ascension (left) and declination (right). The black points correspond to the measurements obtained with HIPPARCOS (1991.25) and Gaia (2016.0). In each plot, the black curve shows the best fit. The color bar indicates the log likelihood of the different fits plotted.

Current usage metrics show cumulative count of Article Views (full-text article views including HTML views, PDF and ePub downloads, according to the available data) and Abstracts Views on Vision4Press platform.

Data correspond to usage on the plateform after 2015. The current usage metrics is available 48-96 hours after online publication and is updated daily on week days.

Initial download of the metrics may take a while.