Open Access

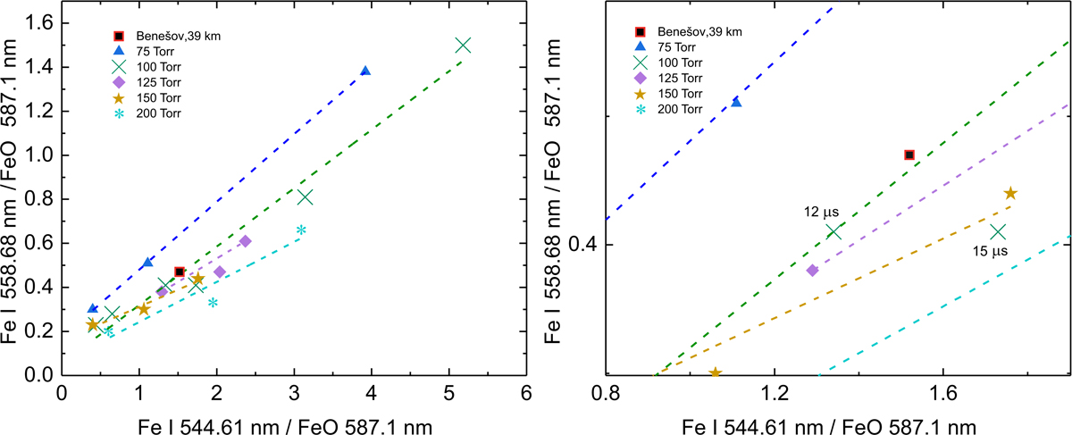
Fig. 2.

image

Download original image

Criterion of spectrum similarity in the space of two ratios of the atomic line to the molecular band. Left: all investigated points in the pressure range 75–200 Torr and delay range 7–20 μs. Right: experimental points providing the highest similarity between the laboratory and meteor spectra.

Current usage metrics show cumulative count of Article Views (full-text article views including HTML views, PDF and ePub downloads, according to the available data) and Abstracts Views on Vision4Press platform.

Data correspond to usage on the plateform after 2015. The current usage metrics is available 48-96 hours after online publication and is updated daily on week days.

Initial download of the metrics may take a while.