Open Access

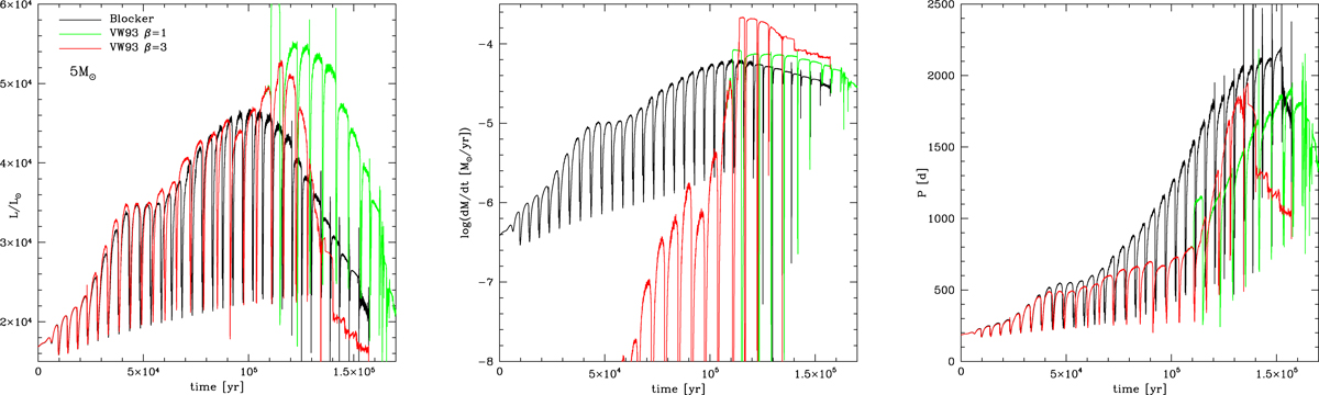
Fig. 4.

image

Download original image

Time variation during the AGB phase of the luminosity (left panel), mass-loss rate (middle), and pulsation period (right) of solar metallicity, model stars of initial mass 5 M, in which mass loss was modelled according to Blo95 (black lines) and to VW93, where the scattering parameter β was set to 1 (green lines) and 3 (red).

Current usage metrics show cumulative count of Article Views (full-text article views including HTML views, PDF and ePub downloads, according to the available data) and Abstracts Views on Vision4Press platform.

Data correspond to usage on the plateform after 2015. The current usage metrics is available 48-96 hours after online publication and is updated daily on week days.

Initial download of the metrics may take a while.