Open Access

Fig. 3

image

Download original image

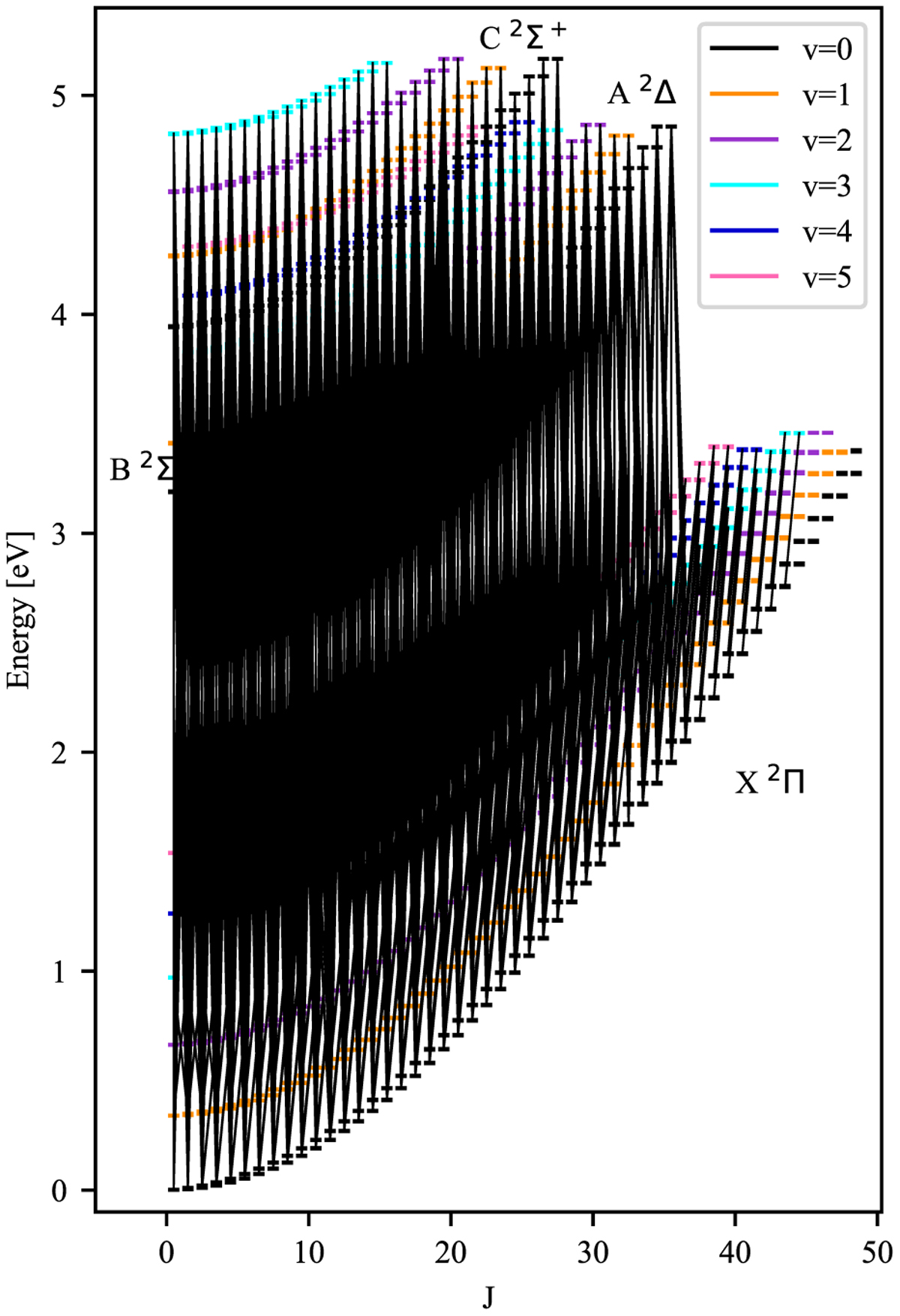
Energy levels included in the CH molecule model with specified rotational quantum number J and vibrational quantum number υ. The black lines indicate all radiative bound-bound transitions included in the model.

Current usage metrics show cumulative count of Article Views (full-text article views including HTML views, PDF and ePub downloads, according to the available data) and Abstracts Views on Vision4Press platform.

Data correspond to usage on the plateform after 2015. The current usage metrics is available 48-96 hours after online publication and is updated daily on week days.

Initial download of the metrics may take a while.