Open Access

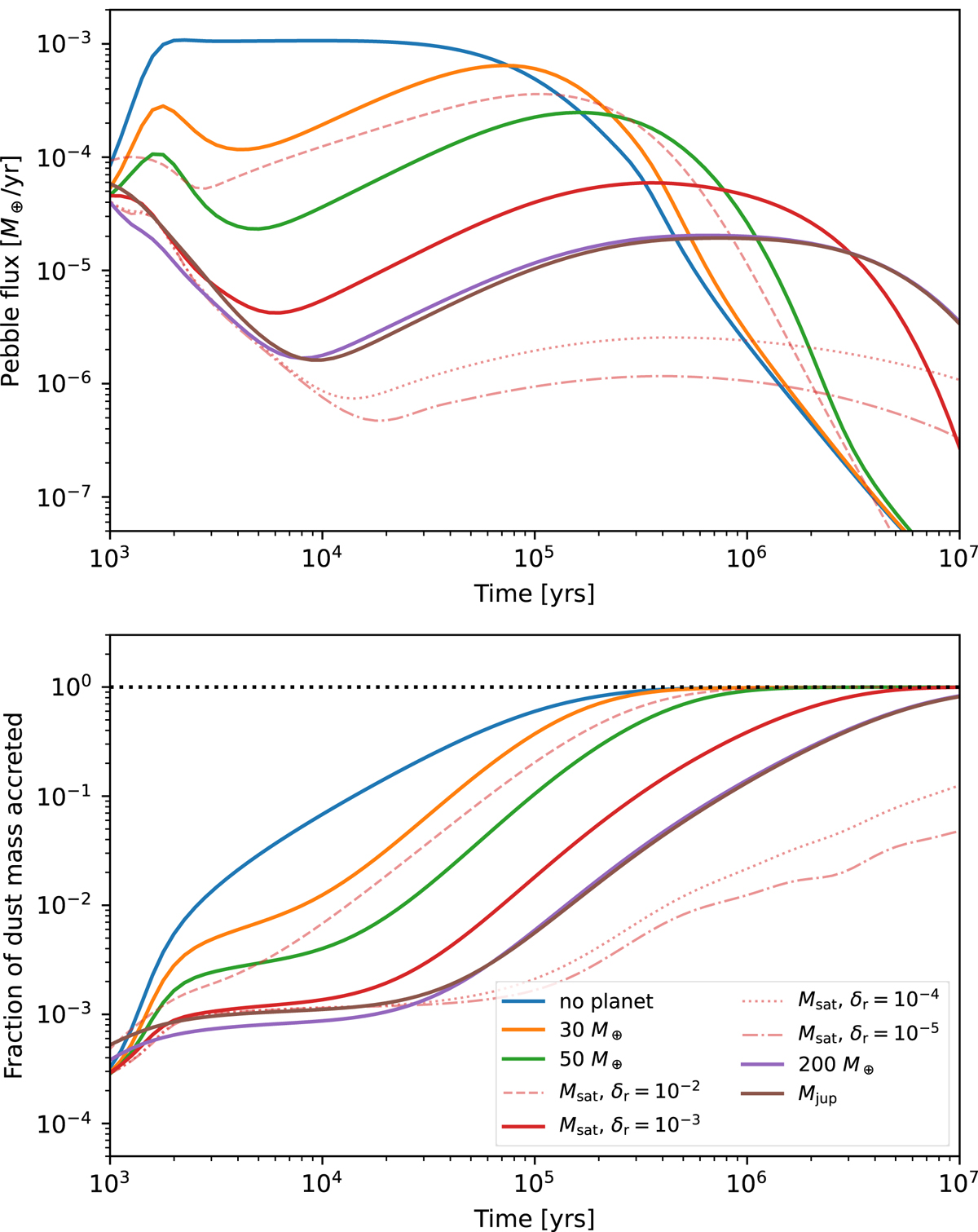
Fig. 3.

image

Download original image

Comparison of dust fluxes and the fraction of total accreted dust mass in the full disk models for various planet masses and dust diffusivities. Top: dust flux through the planetary gap in models with different planet masses. The blue line is for a model without a planet. The dashed, dotted, and dash-dotted red lines show additional simulations with a Saturn-mass planet for different radial dust diffusivity parameters δr. Bottom: total fraction of outer dust mass accreted through the planetary gap.

Current usage metrics show cumulative count of Article Views (full-text article views including HTML views, PDF and ePub downloads, according to the available data) and Abstracts Views on Vision4Press platform.

Data correspond to usage on the plateform after 2015. The current usage metrics is available 48-96 hours after online publication and is updated daily on week days.

Initial download of the metrics may take a while.