Open Access

Fig. 3.

image

Download original image

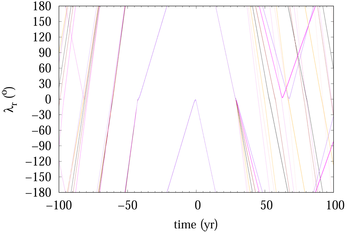
Evolution of the relative mean longitude with respect to Earth, λr, of 2022 NX1. The time interval (−100, 100) yr is shown. The figure shows results for the nominal solution (in black) as described by the orbit determination in Table 1 and those of control orbits or clones with Cartesian state vectors (see Appendix C) separated +3σ (in brown), −3σ (in orange), +6σ (in magenta), −6σ (in pink), +9σ (in purple), and −9σ (in violet) from the nominal values in Table C.1. The output time-step size is 0.1 yr.

Current usage metrics show cumulative count of Article Views (full-text article views including HTML views, PDF and ePub downloads, according to the available data) and Abstracts Views on Vision4Press platform.

Data correspond to usage on the plateform after 2015. The current usage metrics is available 48-96 hours after online publication and is updated daily on week days.

Initial download of the metrics may take a while.