Open Access

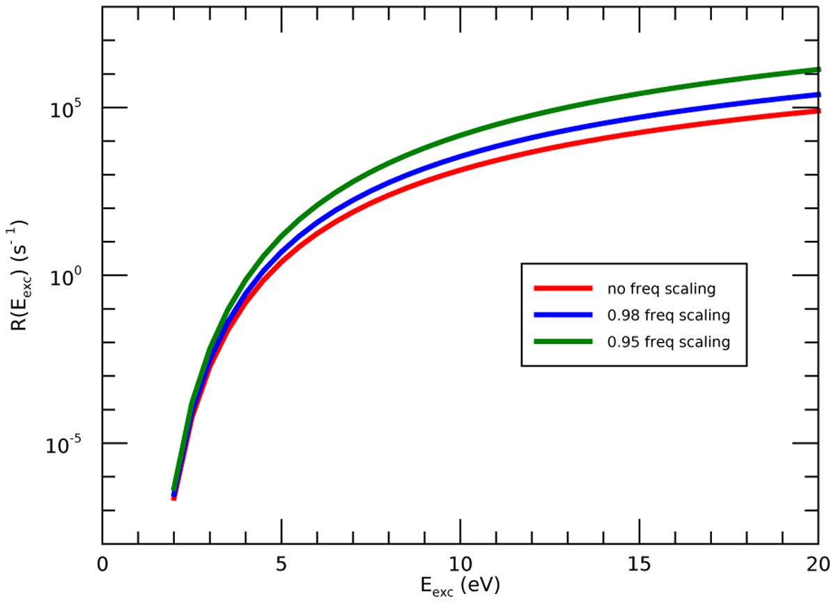
Fig. A.4

image

Download original image

Integrated R(Eexp) as a function of Eexp for 9CN-anthracene, assuming the vibrational frequencies in excited electronic state(s) involved in the fluorescence to be respectively the same, 98%, and 95% of the vibrational frequencies in the ground electronic state.

Current usage metrics show cumulative count of Article Views (full-text article views including HTML views, PDF and ePub downloads, according to the available data) and Abstracts Views on Vision4Press platform.

Data correspond to usage on the plateform after 2015. The current usage metrics is available 48-96 hours after online publication and is updated daily on week days.

Initial download of the metrics may take a while.