Open Access

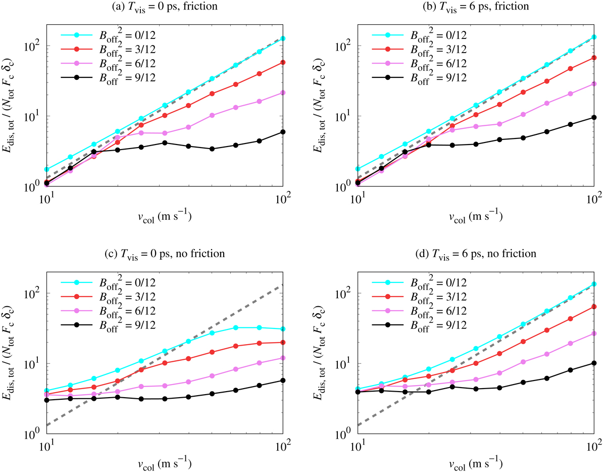
Fig. C.1.

image

Download original image

Total energy dissipation due to particle interactions from the start to the end of the simulations, Edis, tot, as a function of vrel and Boff. (a) For the frictional model without normal dissipation. (b) For the frictional model with normal dissipation. (c) For the frictionless model without normal dissipation. (d) For the frictionless model with normal dissipation. The dashed gray line denotes the initial kinetic energy (see Arakawa et al. 2022a).

Current usage metrics show cumulative count of Article Views (full-text article views including HTML views, PDF and ePub downloads, according to the available data) and Abstracts Views on Vision4Press platform.

Data correspond to usage on the plateform after 2015. The current usage metrics is available 48-96 hours after online publication and is updated daily on week days.

Initial download of the metrics may take a while.