Open Access

Fig. C.3.

image

Download original image

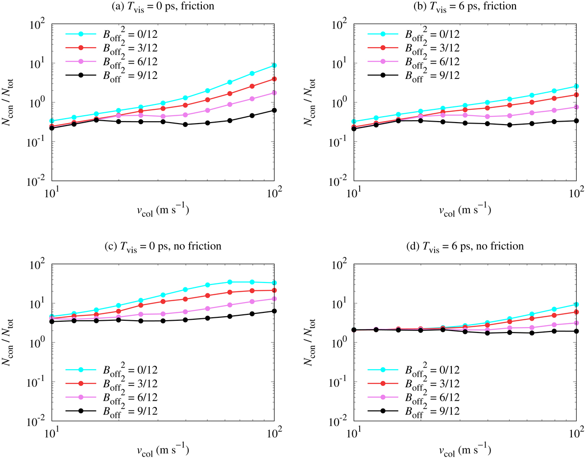
Number of connection events in a collision between dust aggregates, Ncon, as a function of vrel and Boff. (a) For the frictional model without normal dissipation. (b) For the frictional model with normal dissipation. (c) For the frictionless model without normal dissipation. (d) For the frictionless model with normal dissipation.

Current usage metrics show cumulative count of Article Views (full-text article views including HTML views, PDF and ePub downloads, according to the available data) and Abstracts Views on Vision4Press platform.

Data correspond to usage on the plateform after 2015. The current usage metrics is available 48-96 hours after online publication and is updated daily on week days.

Initial download of the metrics may take a while.