Open Access

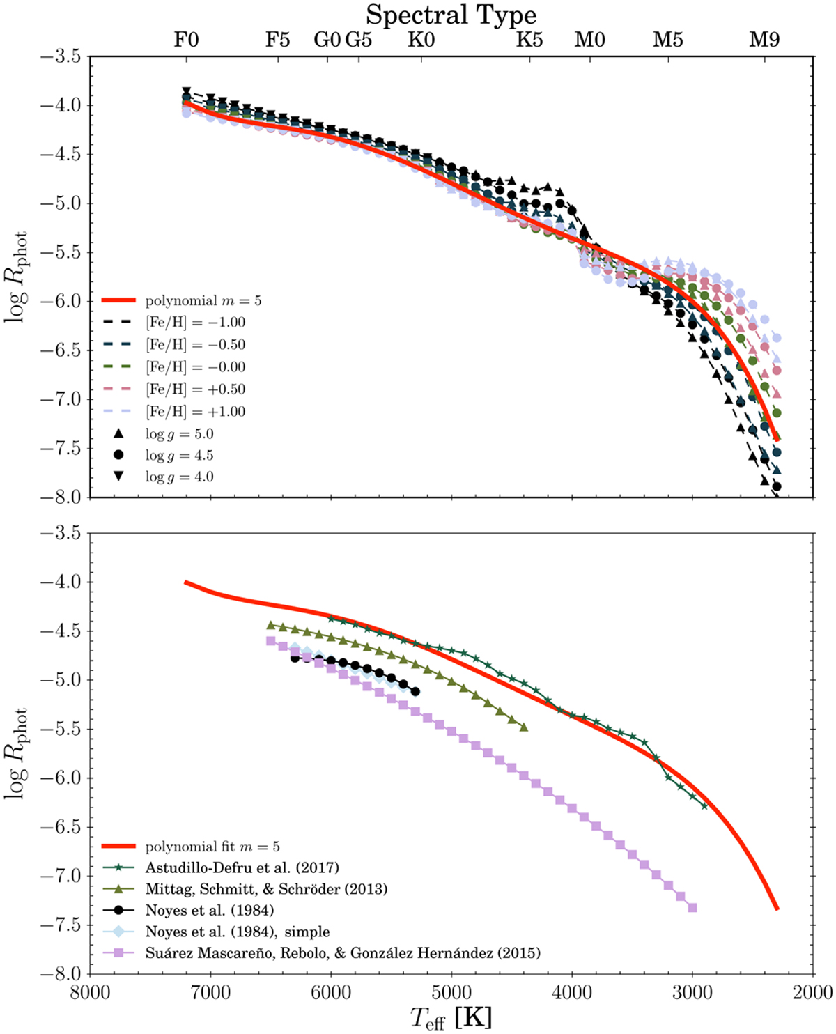
Fig. 13

image

Download original image

Different log RHK,phot as a function of Teff. The approximate spectral type is shown on the top axis. Top: PHOENIX stellar atmosphere models with different [Fe/H] and log(ɡ), where [Fe/H] is indicated by color and log(ɡ) indicated by symbol. The solid red line indicates a fifth-order polynomial fit. Bottom: calibrations of log RHK,phot from other works where only the valid calibration region is plotted. Overplotted in red is the same fifth-order polynomial fit from the top panel.

Current usage metrics show cumulative count of Article Views (full-text article views including HTML views, PDF and ePub downloads, according to the available data) and Abstracts Views on Vision4Press platform.

Data correspond to usage on the plateform after 2015. The current usage metrics is available 48-96 hours after online publication and is updated daily on week days.

Initial download of the metrics may take a while.