Open Access

Fig. 2

image

Download original image

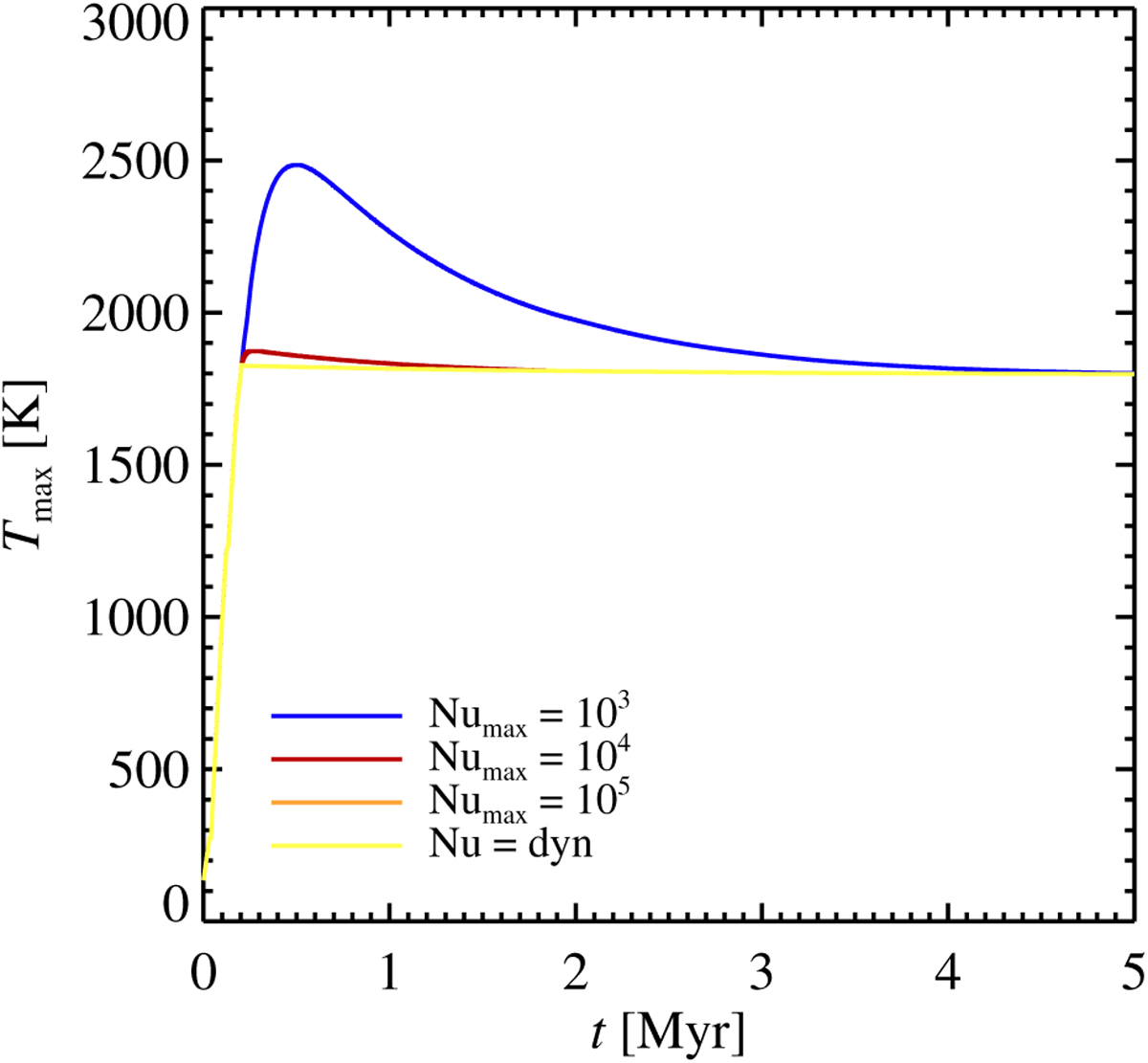
Maximum temperature within a planetesimal of radius 250 km as a function of time for three fixed values of the Nusselt number and a dynamical setting of Nu. Fixing Nu to a too low value clearly leads to an overestimate of the interior temperature. We therefore run the simulations with a dynamical value of Nu that is calculated based on the Rayleigh number of each convective layer.

Current usage metrics show cumulative count of Article Views (full-text article views including HTML views, PDF and ePub downloads, according to the available data) and Abstracts Views on Vision4Press platform.

Data correspond to usage on the plateform after 2015. The current usage metrics is available 48-96 hours after online publication and is updated daily on week days.

Initial download of the metrics may take a while.