Open Access

Fig. 7

image

Download original image

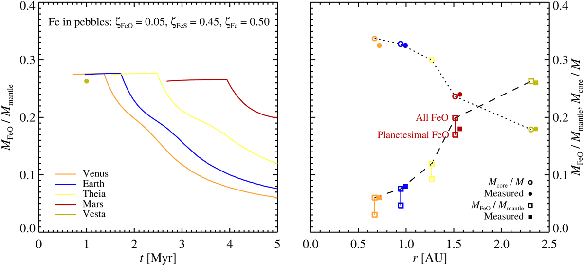
FeO fraction in the mantle as a function of time (left) and final FeO fraction and core fraction (right). We assume here that 5% of the iron in the pebbles is in FeO form and 45% in FeS. The FeO fraction starts high as all iron that is not in FeS becomes oxidized by dissolution in water. The value drops after ice accretion terminates at around 0.01 ME. The resulting core mass fraction and FeO mantle fraction yield good matches to measurements of Venus, Earth, Mars and Vesta, demonstrating that these bodies could share a common origin exterior of the water ice line where they initially accreted significant amounts of ice. The connected values of the FeO fraction of the model indicate the total FeO contribution from pebbles and planetesimals and the contribution from FeO-rich planetesimals alone.

Current usage metrics show cumulative count of Article Views (full-text article views including HTML views, PDF and ePub downloads, according to the available data) and Abstracts Views on Vision4Press platform.

Data correspond to usage on the plateform after 2015. The current usage metrics is available 48-96 hours after online publication and is updated daily on week days.

Initial download of the metrics may take a while.