Open Access

Fig. 12

image

Download original image

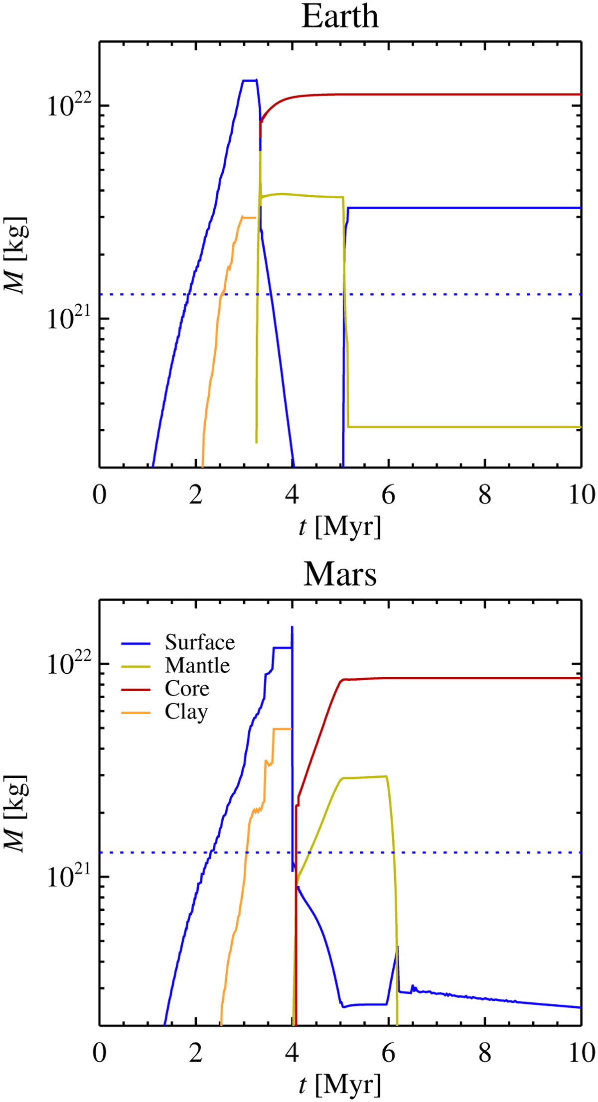
Mass of water in different reservoirs as a function of time (top: Earth, bottom: Mars). Before the onset of the run-away greenhouse effect, most of the water resides in the massive surface layer and in the clay mantle below. The majority of the water is dissolved into the newly formed magma ocean and core when the planets differentiate by the accretion energy. The crystallization of the magma ocean after 7 Myr leads to the release of approximately two modern Earth oceans of water on Earth, while the reduced mantle of Mars leads to outgassing of far less water.

Current usage metrics show cumulative count of Article Views (full-text article views including HTML views, PDF and ePub downloads, according to the available data) and Abstracts Views on Vision4Press platform.

Data correspond to usage on the plateform after 2015. The current usage metrics is available 48-96 hours after online publication and is updated daily on week days.

Initial download of the metrics may take a while.